【药物名称】
化学结构式(Chemical Structure):
参考文献No.52805
标题:Charged cpds. comprising a nucleic acid binding moiety and uses therefor
作者:Ge, Y.; Taylor, M.J.; Baird, E.E.; Moser, H.E.; Burli, R.W. (GeneSoft, Inc.)
来源:JP 2003529609; WO 0174898
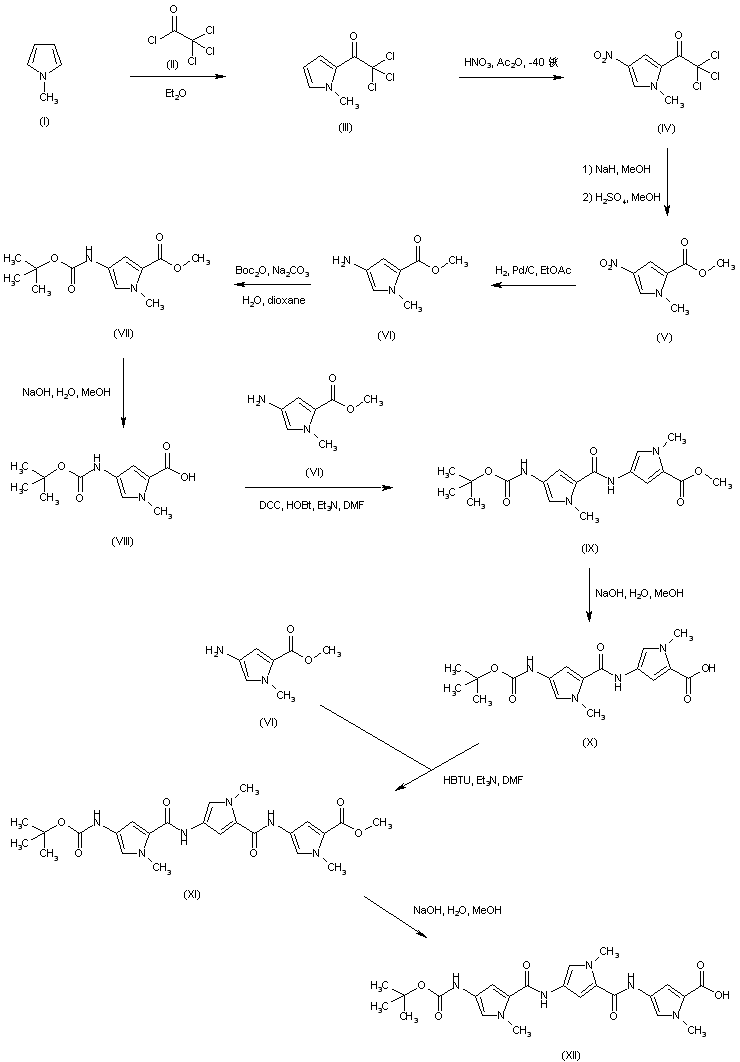
合成路线图解说明:

Friedel-Crafts acylation of N-methylpyrrole (I) with trichloroacetyl chloride (II) affords the pyrrolyl ketone (III), which is subsequently subjected to electrophilic nitration with in situ generated acetyl nitrate, producing nitropyrrole (IV). Cleavage of the trichloroketone group of (IV) under alkaline conditions, followed by Fischer esterification leads to methyl ester (V). The nitro group of (V) is then reduced to amine (VI) by catalytic hydrogenation over Pd/C. After protection of amine (VI) as the corresponding N-Boc derivative (VII), saponification of the methyl ester group of (VII) yields acid (VIII). Coupling between the pyrrolecarboxylic acid (VIII) and amino ester (VI) provides the amide adduct (IX). After alkaline ester hydrolysis in (IX), the resultant carboxylic acid (X) is coupled with a further moiety of methyl 4-amino-1-methylpyrrole-2-carboxylate (VI) to furnish the tripyrrolyl compound (XI). Subsequent methyl ester saponification in (XI) provides acid (XII).

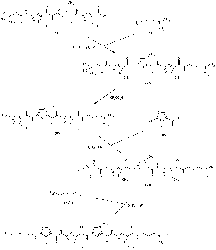
合成路线图解说明:

The tripyrrolyl acid (XII) is coupled with N,N-dimethyl-1,3-propanediamine (XIII) to afford amide (XIV). After acidic Boc group cleavage in (XIV), the resultant amino compound (XV) is acylated by 4,5-dichloroisothiazole-3-carboxylic acid (XVI) to furnish the tetra-heterocyclic amide (XVII). Finally, selective displacement of the 5-chloro group of (XVII) with 1,4-butanediamine (XVIII) gives rise to the title compound.

Drug Information Express,Drug R&D,Chemical Database,Patent Search.
Copyright © 2006-2026 Drug Future. All rights reserved.Contact Us