【药物名称】
化学结构式(Chemical Structure):
参考文献No.687876
标题:New antimalarials: Design and synthesis of protease inhibitors with effect in cultured parasite-infected human erythrocytes
作者:N鰐eberg, D.; et al.
来源:Drugs Fut 2002,27(Suppl. A),
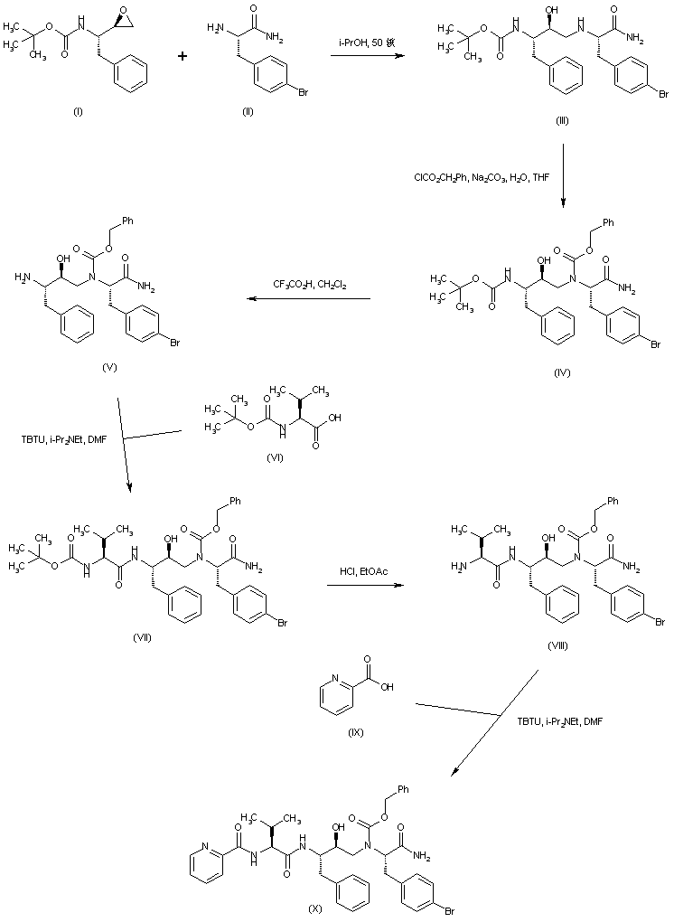
合成路线图解说明:

Coupling between epoxide (I) and amine (II) affords amino alcohol (III). The amino group of (III) is then protected with benzyl chloroformate to provide carbamate (IV). Removal of the N-Boc group of (IV) with trifluoroacetic acid yields amine (V), which is subsequently coupled with N-Boc-L-valine (VI) by means of TBTU to furnish amide (VII). After acidic Boc group cleavage in (VII), the resultant amine (VIII) is acylated by picolinic acid (IX) producing amide (X).

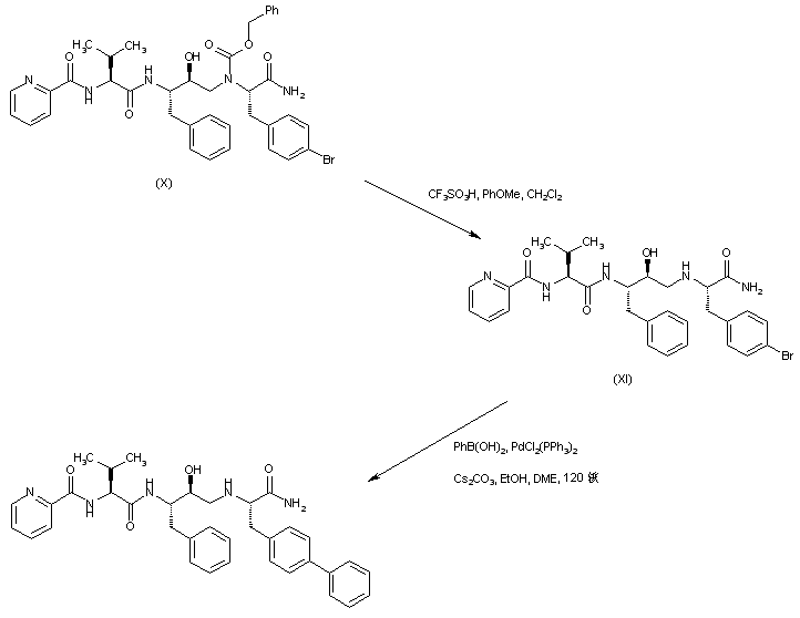
合成路线图解说明:

The N-carbobenzoxy group of (X) is then removed by treatment with triflic acid, yielding (XI). Finally, Suzuki coupling of the aryl bromide (XI) with phenylboronic acid leads to the title biphenyl derivative.

Drug Information Express,Drug R&D,Chemical Database,Patent Search.
Copyright © 2006-2026 Drug Future. All rights reserved.Contact Us