【药物名称】
化学结构式(Chemical Structure):
参考文献No.690835
标题:Novel antibiotics for the treatment of gram-positive bacterial infections
作者:Brands, M.; Endermann, R.; Gahlmann, R.; Kruger, J.; Raddatz, S.; Stoltefuss, J.; Belov, V.N.; Nizamov, S.; Sokolov, V.V.; de Meijere, A.
来源:J Med Chem 2002,45(19),4246
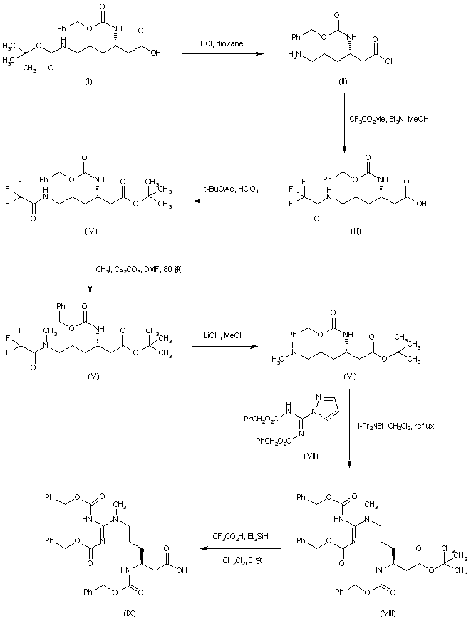
合成路线图解说明:

The N-Boc group of the orthogonally protected beta-lysine (I) is removed by acidic treatment to provide amine (II), which is further reprotected as the trifluoroacetamide (III) by reaction with methyl trifluoroacetate. Transesterification of acid (III) with t-butyl acetate in the presence of HClO4 gives rise to the corresponding t-butyl ester (IV). Selective methylation of the trifluoroacetamide N of (IV) furnishes the N-methyl amide (V), which is subsequently hydrolyzed to the N-methyl amine (VI) under alkaline conditions. Guanidylation of amine (VI) with N,N'-bis-carbobenzoxy-1-amidinopyrazole (VII) leads to the protected guanidine (VIII). Then, acidic cleavage of the tert-butyl ester group of (VIII) provides carboxylic acid (IX)

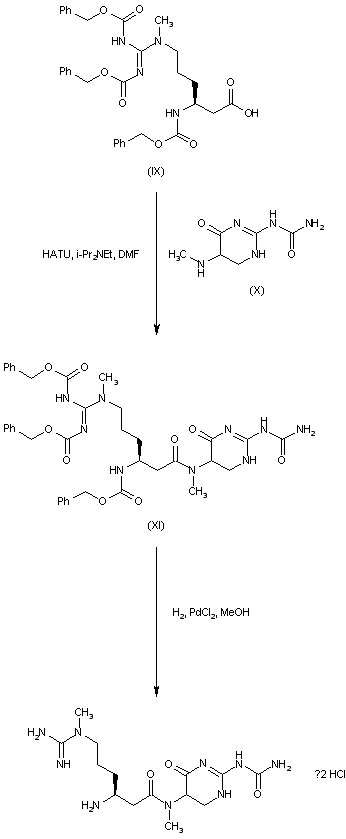
合成路线图解说明:

Acid (IX) is coupled with the amino pyrimidinone derivative (X) using HATU to produce amide (XI). Finally, hydrogenolysis of the carbobenzoxy groups of (XI) in the presence of PdCl2 gives rise to the title compound

Drug Information Express,Drug R&D,Chemical Database,Patent Search.
Copyright © 2006-2026 Drug Future. All rights reserved.Contact Us