【药物名称】3,4,3-LI(1,2-Me-3,2-HOPO)
化学结构式(Chemical Structure):
参考文献No.687586
标题:Synthesis and initial evaluation for in vivo chelation of Pu(IV) of a mixed octadentate spermine-based ligand containing 4-carbamoyl-3-hydroxy-1-methyl-2(1H)-pyridinone and 6-carbamoyl-1-hydroxy-2(1H)-pyridinone
作者:Xu, J.; Durbin, P.W.; Kullgren, B.; Ebbe, S.N.; Uhlir, L.C.; Raymond, K.N.
来源:J Med Chem 2002,45(18),3963
合成路线图解说明:

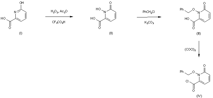
6-Hydroxypicolinic acid (I) is oxidized to the N-hydroxy pyridinone (II) employing peracetic acid (obtained by mixing Ac2O and H2O2) in the presence of TFA. Protection of the N-hydroxy group of (II) with benzyl chloride affords the N-benzyloxy pyridinone (III). The carboxy group of (III) is then activated as the corresponding acid chloride (IV) by treatment with oxalyl chloride.

合成路线图解说明:

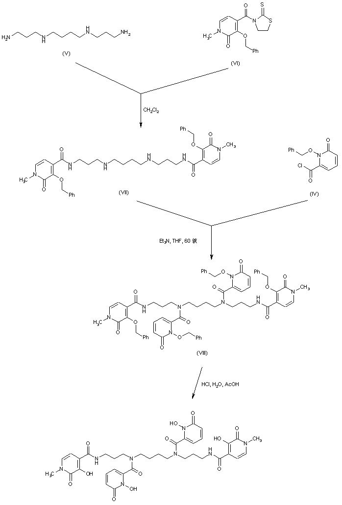
Acylation of the primary amino groups of spermine (V) by the N acyl thiazolide (VI) furnishes diamide (VII). This is further coupled with acid chloride (IV) producing tetraamide (VIII). Finally, deprotection of the O-benzyl groups under acidic conditions gives rise to the title compound.

Drug Information Express,Drug R&D,Chemical Database,Patent Search.
Copyright © 2006-2026 Drug Future. All rights reserved.Contact Us