【药物名称】L-869298
化学结构式(Chemical Structure):
参考文献No.51431
标题:Tri-aryl-substd.-ethane PDE4 inhibitors
作者:Girard, M.; Frenette, R.; Hamel, P.; Guay, D.; Ducharme, Y.; Blouin, M.; Friesen, R.; Cote, B.; Martins, E.; Laliberte, S. (Merck Frosst Canada Inc.)
来源:EP 1272488; US 6399636; WO 0170738
合成路线图解说明:

The preparation of the precursor aldehyde (IX) is illustrated in Scheme 1. Alkylation of 3-hydroxy-4-(difluoromethoxy)benzaldehyde (I) with 1-bromo-2-chloroethane (II) affords the chloroethyl ether (III). After reduction of the aldehyde function of (III) with NaBH4, the resulting alcohol (IV) is protected as the corresponding silyl ether (V) with triisopropylsilyl triflate and 2,6-lutidine. Dehydrohalogenation of the chloroethyl ether moiety of (V) with NaOH under phase-transfer conditions, followed by resilylation with triisopropylsilyl triflate, leads to the vinyl ether (VI). This is converted into the cyclopropyl derivative (VII) following the Simmons-Smith procedure in the presence of chloroiodomethane and diethylzinc. Desilylation of (VII) with tertbutylammonium fluoride yields the benzylic alcohol (VIII), which is again oxidized to aldehyde (IX) employing MnO2 in CH2Cl2.

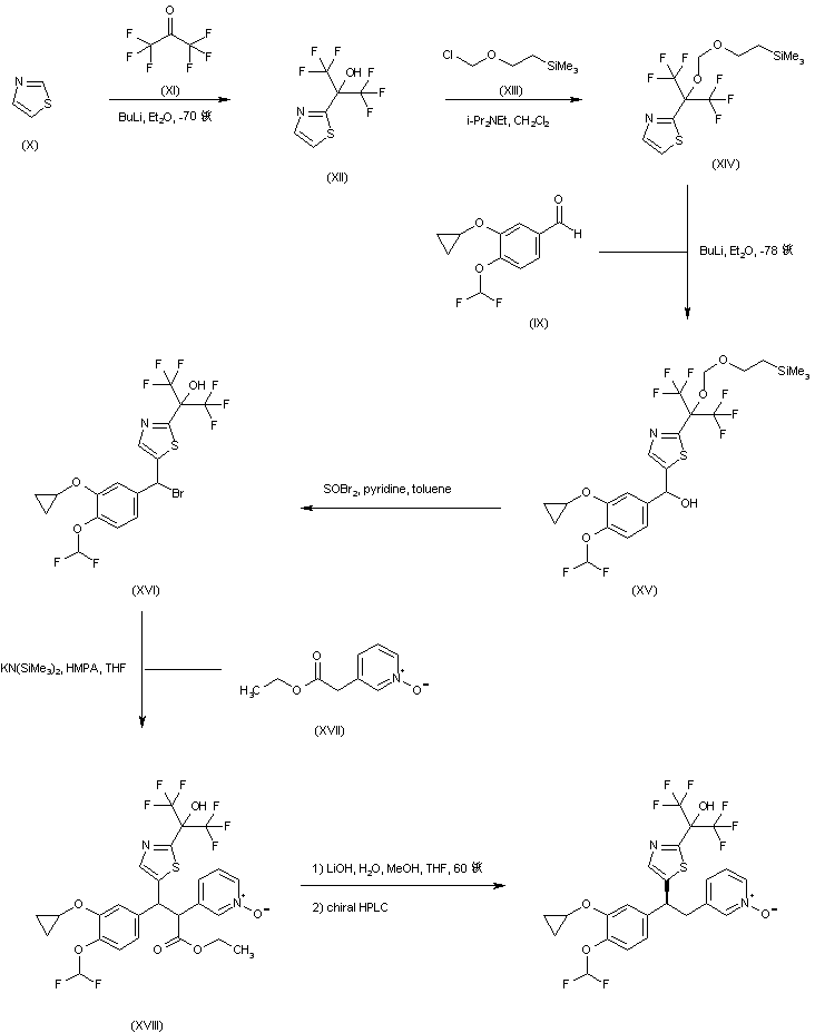
合成路线图解说明:

Lithiation of thiazole (X) with butyllithium, and then addition to hexafluoroacetone (XI) in cold Et2O gives the carbinol adduct (XII), which is subsequently protected with 2-(trimethylsilyl)ethoxymethyl chloride (XIII), yielding the SEM ether (XIV). A further metalation of (XIV) with butyllithium, followed by addition to aldehyde (IX) provides alcohol (XV). Bromination of (XV), with simultaneous SEM group cleavage to afford (XVI), is accomplished by treatment with thionyl bromide and pyridine. Alkylation of the potassium enolate of ethyl 3-pyridylacetate N-oxide (XVII) with bromide (XVI) gives ester (XVIII). Finally, decarboethoxylation of (XVIII) by means of LiOH, followed by resolution of the racemic mixture using chiral HPLC furnishes the title enantiomer.

Drug Information Express,Drug R&D,Chemical Database,Patent Search.
Copyright © 2006-2026 Drug Future. All rights reserved.Contact Us