【药物名称】SB-568849
化学结构式(Chemical Structure):
参考文献No.53751
标题:Carboxamide cpds. and their use as antagonists of a human 11CBy receptor
作者:Stemp, G.; Johnson, C.N.; Jones, M.; O'Toole, C.A.; Thewlis, K.M.; Witty, D. (GlaxoSmithKline plc)
来源:EP 1305304; WO 0210146
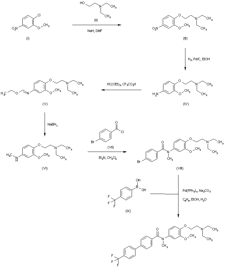
合成路线图解说明:

Substitution of 1-chloro-2-methoxy-4-nitrobenzene (I) with 2-(diethylamino)ethanol (II) gives rise to ether (III). Subsequent nitro group reduction in (III) by catalytic hydrogenation affords aniline (IV). Condensation of amine (IV) with triethyl orthoformate, followed by reduction of the resultant formimidate (V) with NaBH4 leads to the N-methyl amine (VI). This is acylated by 4-bromobenzoyl chloride (VII) to furnish the bromobenzamide (VIII). Finally, Suzuki coupling of bromide (VIII) with 4-trifluoromethylphenylboronic acid (IX) produces the title biphenyl compound

Drug Information Express,Drug R&D,Chemical Database,Patent Search.
Copyright © 2006-2026 Drug Future. All rights reserved.Contact Us