【药物名称】A-420983
化学结构式(Chemical Structure):
参考文献No.48288
标题:Pyrazolopyrimidines as therapeutic agents
作者:Hirst, G.C.; Rafferty, P.; Ritter, K.; Arnold, L.D.; Wishart, N.; Calderwood, D.; Friedman, M.M. (BASF AG)
来源:EP 1212327; WO 0119829
合成路线图解说明:

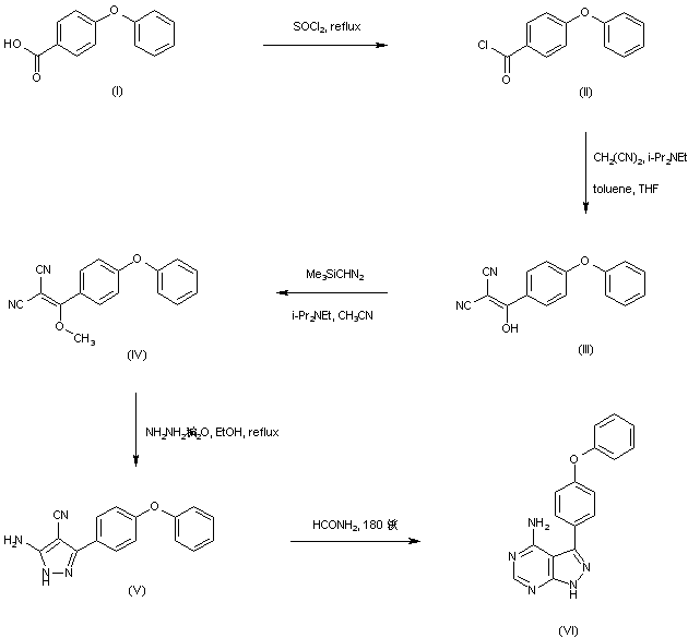
4-Phenoxybenzoic acid (I) is chlorinated with SOCl2, and the resultant acid chloride (II) is then condensed with malononitrile to produce the hydroxybenzylidene malononitrile (III). Subsequent methylation of (III) with trimethylsilyl diazomethane yields the methyl ether (IV), which is cyclized to pyrazole (V) upon treatment with hydrazine hydrate in boiling EtOH. Reaction of the 3-amino-4-cyanopyrazole (V) with hot formamide then produces the key pyrazolopyrimidine intermediate (VI).

合成路线图解说明:

Reduction of 1,4-cyclohexanedione mono-ethylene ketal (VII) with NaBH4 gives alcohol (VIII). This is then coupled with the pyrazolopyrimidine (VI) under Mitsunobu conditions to afford adduct (IX). Subsequent acidic ketal hydrolysis in (IX) leads to ketone (X). Finally, reductive condensation of (X) with N-methylpiperazine (XI) in the presence of NaBH(OAc)3 produces a mixture of cis and trans disubstituted cyclohexanes, from which the title trans isomer is isolated by flash column chromatography.

合成路线图解说明:

Treatment of 3-aminopyrazole-4-carbonitrile (I) with formamide at 180 C gives rise to the pyrazolopyrimidinyl amine (II). Subsequent iodination of (II) with N-iodosuccinimide in hot DMF affords 3-iodo-1H-pyrazolo[3,4-d]pyrimidin-4-ylamine (III). Reduction of 1,4-cyclohexanedione mono-ethylene ketal (IV) with NaBH4 furnishes alcohol (V). This is then subjected to Mitsunobu coupling with the pyrazolopyrimidine (III) to produce adduct (VI). Acidic hydrolysis of the ethylene ketal (VI) leads to the cyclohexanone (VII). The reductive amination of ketone (VII) with N-methylpiperazine (VIII), either employing NaBH(OAc)3 or via condensation in hot NMP, and then reduction of the resultant enamine with formic acid, produces a mixture of trans- (IX) and cis- (X) disubstituted cyclohexanes, with different ratios in each case.

合成路线图解说明:

Suzuki coupling between the pyrazolopyrimidinyl iodide (IX) and the pinacol arylboronate derivative (XI) provides the 3-aryl pyrazolopyrimidine (XII). The N-Boc protecting group of (XII) is then removed under acidic conditions to give aniline (XIII). Acid chloride (XV), prepared by chlorination of 1-methyl-2-indolecarboxylic acid (XIV) is finally coupled to aniline (XIII) to furnish the title amide.

参考文献No.688260
标题:Design, synthesis and SAR of PARP-1 inhibitors
作者:Ferraris, D.; et al.
来源:Drugs Fut 2002,27(Suppl. A),
合成路线图解说明:

Treatment of 3-aminopyrazole-4-carbonitrile (I) with formamide at 180 C gives rise to the pyrazolopyrimidinyl amine (II). Subsequent iodination of (II) with N-iodosuccinimide in hot DMF affords 3-iodo-1H-pyrazolo[3,4-d]pyrimidin-4-ylamine (III). Reduction of 1,4-cyclohexanedione mono-ethylene ketal (IV) with NaBH4 furnishes alcohol (V). This is then subjected to Mitsunobu coupling with the pyrazolopyrimidine (III) to produce adduct (VI). Acidic hydrolysis of the ethylene ketal (VI) leads to the cyclohexanone (VII). The reductive amination of ketone (VII) with N-methylpiperazine (VIII), either employing NaBH(OAc)3 or via condensation in hot NMP, and then reduction of the resultant enamine with formic acid, produces a mixture of trans- (IX) and cis- (X) disubstituted cyclohexanes, with different ratios in each case.

合成路线图解说明:

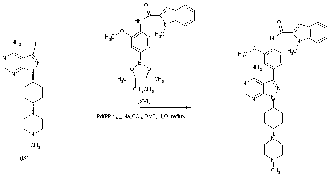
In a related procedure, the pyrazolopyrimidinyl iodide (IX) is coupled to the (indolecarboxamido)phenyl boronate (XVI) under Suzuki reaction conditions, leading directly to the title compound.

Drug Information Express,Drug R&D,Chemical Database,Patent Search.
Copyright © 2006-2026 Drug Future. All rights reserved.Contact Us