【药物名称】SU-11464, D-69491
化学结构式(Chemical Structure):
参考文献No.49987
标题:4-Substd. 7-aza-indolin-2-ones and their use as protein kinase inhibitors
作者:Wei, C.C.; Tang, P.C.; McMahon, G.; Sun, L.; Hirth, K.P.; Liang, C.; Cui, J. (Sugen, Inc.)
来源:EP 1244672; WO 0146196
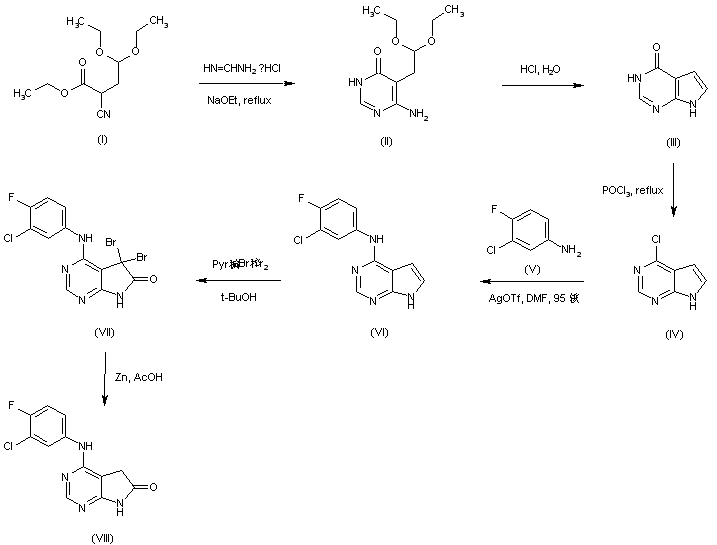
合成路线图解说明:

Condensation of cyano ester (I) with formamidine in the presence of NaOEt afforded the pyrimidinone derivative (II). Acetal hydrolysis of (II) with concomitant intramolecular cyclization under acidic conditions produced the pyrrolopyrimidinone (III), which was further chlorinated to (IV) in refluxing POCl3. Displacement of the 4-chloro of (IV) with 3-chloro-4-fluoroaniline (V) in the presence of silver triflate in hot DMF afforded the anilino pyrrolopyrimidine (VI). Oxidation of (VI) using pyridinium bromide perbromide furnished the alpha,alpha-dibromo lactam (VII). Reductive debromination of (VII) by means of zinc dust in AcOH gave intermediate (VIII).

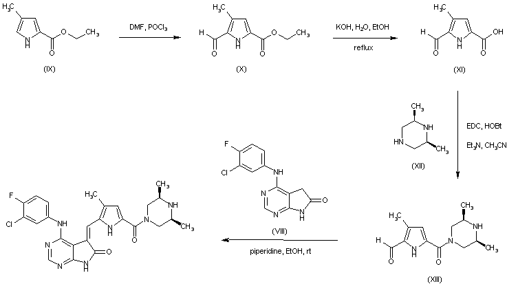
合成路线图解说明:

Vilsmeier-Haack formylation of ethyl 4-methylpyrrole-2-carboxylate (IX) using POCl3 in DMF furnished the pyrrole aldehyde (X). Subsequent basic hydrolysis of the ethyl ester group of (X) gave 5-formyl-4-methylpyrrole-2-carboxylic acid (XI), which was further coupled to cis-2,6-dimethylpiperazine (XII) producing amide (XIII). The title compound was finally prepared by aldol condensation between the pyrrole aldehyde (XIII) and lactam (VIII) in the presence of piperidine.

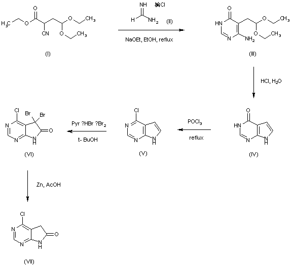
合成路线图解说明:

Condensation of 2-cyano-4,4-diethoxybutyric acid ethyl ester (I) with formamidine hydrochloride (II) in the presence of NaOEt provides the pyrimidine derivative (III). Subsequent hydrolysis of the diethyl acetal of (III) under acidic conditions leads to the pyrrolopyrimidinone (IV). This is converted to the 4-chloro derivative (V) upon treatment with POCl3. Then, oxidation of (V) by means of pyridinium bromide perbromide furnishes the dibromo pyrrolopyridinone (VI), which is further debrominated to (VII) employing zinc dust in AcOH

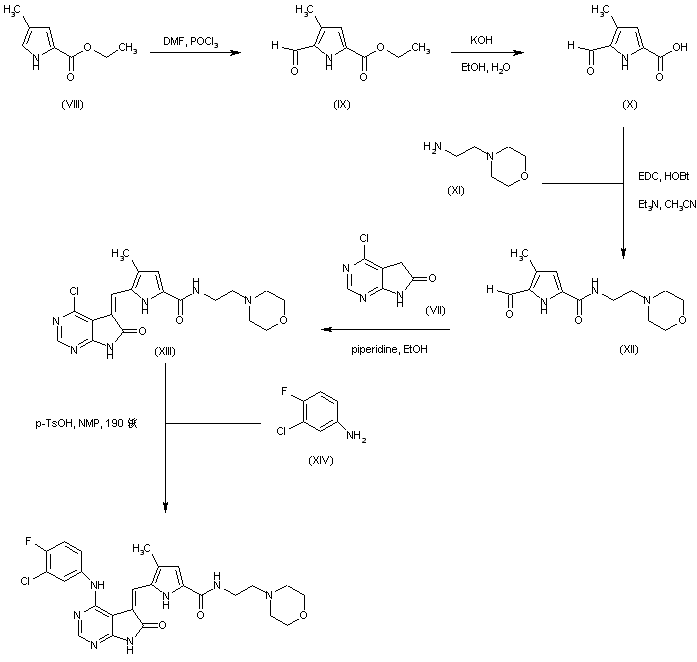
合成路线图解说明:

Vilsmeier formylation of ethyl 4-methylpyrrole-2-carboxylate (VIII) affords aldehyde (IX). The ethyl ester group of (IX) is subsequently hydrolyzed under alkaline conditions to provide acid (X). Coupling of (X) with 4-(2-aminoethyl)morpholine (XI) gives amide (XII). Then, condensation between aldehyde (XII) and lactam (VII) in the presence of piperidine leads to adduct (XIII). The 4-chloro group of (XIII) is finally displaced with 3-chloro-4-fluoroaniline (XIV) in hot NMP to provide the title compound

Drug Information Express,Drug R&D,Chemical Database,Patent Search.
Copyright © 2006-2026 Drug Future. All rights reserved.Contact Us