【药物名称】
化学结构式(Chemical Structure):
参考文献No.686463
标题:Design and synthesis of pyridone farnesyltransferase inhibitors
作者:Hasvold, L.A.; et al.
来源:224th ACS Natl Meet (Aug 18 2002, Boston) 2002,Abst MEDI 126
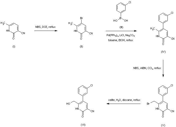
合成路线图解说明:

Bromination of 3-cyano-6-methyl-2-pyridone (I) by means of N bromosuccinimide (NBS) in 1,2-dichloroethane affords the 5-bromopyridone (II). Subsequent Suzuki coupling of (II) with 3-chlorophenylboronic acid (III) yields the 5-phenylpyridone (IV). Radical bromination of (IV) with NBS and AIBN produces the bromomethyl derivative (V). This is then converted to alcohol (VI) upon refluxing in aqueous dioxane in the presence of celite

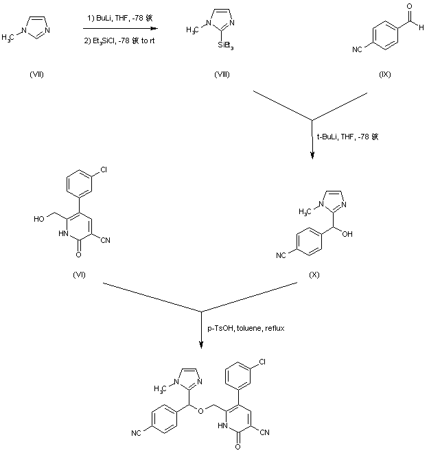
合成路线图解说明:

Lithiation of 1-methylimidazole (VII), followed by quenching with triethylchlorosilane provides the 2-silyl imidazole (VIII). After metalation of (VIII) with tert-butyllithium, condensation with 4-cyanobenzaldehyde (IX) gives rise to the carbinol (X). Finally, coupling between alcohols (VI) and (X) in the presence of p-toluenesulfonic acid in refluxing toluene leads to the desired ether adduct.

Drug Information Express,Drug R&D,Chemical Database,Patent Search.
Copyright © 2006-2026 Drug Future. All rights reserved.Contact Us