【药物名称】Genz-34940
化学结构式(Chemical Structure):
参考文献No.52361
标题:Modulators of TNF-alpha signaling
作者:Hirth, B.H.; Sneddon, S.F.; Kane, J.L.; Vinick, F.; Qiao, S.; Nahill, S.R. (Genzyme Corp.)
来源:WO 0187849
合成路线图解说明:

2,2-Diphenylethylamine (I) is converted into the corresponding formamide (II) upon refluxing in ethyl formate. Subsequent dehydration of formamide (II) with phosphorus oxychloride in the presence of diisopropylamine furnishes isocyanide (III)

合成路线图解说明:

The title compound is prepared according to the Ugi reaction by combination of the four components: isocyanide (III), m-cyanobenzaldehyde (IV), 2-benzoylbenzoic acid (V), and histamine (VI) in refluxing MeOH

合成路线图解说明:

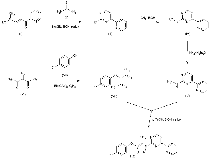
Condensation of the pyridyl enaminone (I) with thiourea (II) in the presence of NaOEt gives 2-mercapto-4-(pyridin-2-yl)pyrimidine (III), which is alkylated with iodomethane, producing the corresponding methylsulfanyl pyrimidine (IV). Subsequent displacement of the methylsulfanyl group of (IV) with hydrazine leads to the hydrazino pyrimidine (V). Rhodium acetate-catalyzed coupling between 3-diazo-2,4-pentanedione (VI) and 4-chlorophenol (VII) furnishes the chlorophenyl ether (VIII). The tile pyrazole derivative is finally obtained by condensation between hydrazine (V) and diketone (VIII) in the presence of p-toluenesulfonic acid in boiling EtOH.

参考文献No.686460
标题:Discovery of TNF-alpha induced apoptosis inhibitors with activity in a murine model of multiple sclerosis: Pyrazole series
作者:Hirth, B.H.; Kane, J.L. Jr.; Janjigian, A.D.; et al.
来源:224th ACS Natl Meet (Aug 18 2002, Boston) 2002,Abst MEDI 273
合成路线图解说明:

Condensation of the pyridyl enaminone (I) with thiourea (II) in the presence of NaOEt gives 2-mercapto-4-(pyridin-2-yl)pyrimidine (III), which is alkylated with iodomethane, producing the corresponding methylsulfanyl pyrimidine (IV). Subsequent displacement of the methylsulfanyl group of (IV) with hydrazine leads to the hydrazino pyrimidine (V). Rhodium acetate-catalyzed coupling between 3-diazo-2,4-pentanedione (VI) and 4-chlorophenol (VII) furnishes the chlorophenyl ether (VIII). The tile pyrazole derivative is finally obtained by condensation between hydrazine (V) and diketone (VIII) in the presence of p-toluenesulfonic acid in boiling EtOH.

Drug Information Express,Drug R&D,Chemical Database,Patent Search.
Copyright © 2006-2026 Drug Future. All rights reserved.Contact Us