【药物名称】GW-500580X
化学结构式(Chemical Structure):
参考文献No.686448
标题:Aryl 1,3-thiazolidine-2,4-diones acting as KATP channel agonists as a class of potent antidiabetic agents
作者:Allen, S.H.; Pfohl, J.L.; Wallace, E.; Truax, J.F.; Worley, J.K.; Townsend, C.; Peat, A.J.; Garrido, D.M.; McKay, C.
来源:224th ACS Natl Meet (Aug 18 2002, Boston) 2002,Abst MEDI 364
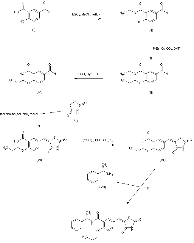
合成路线图解说明:

5-Formylsalicylic acid (I) is protected by esterification with H2SO4/MeOH to give the methyl ester (II). After alkylation of the phenolic hydroxyl group of (II) with propyl bromide, the resultant ortho-propoxy benzoate ester (III) is hydrolyzed to carboxylic acid (IV) with LiOH in aqueous THF. Condensation of the aldehyde-acid (IV) with 2,4-thiazolidinedione (V) in the presence of morpholine leads to the benzylidene thiazolidinedione (VI). Activation of the carboxyl group of (VI) with oxalyl chloride gives rise to the corresponding acid chloride (VII), which is then condensed with (S)-alpha-methylbenzylamine (VIII) to furnish the target amide.

Drug Information Express,Drug R&D,Chemical Database,Patent Search.
Copyright © 2006-2026 Drug Future. All rights reserved.Contact Us