【药物名称】R-278995, CRA-0450
化学结构式(Chemical Structure):
参考文献No.53247
标题:Tetrahydropyridino or piperidino heterocyclic derivs.
作者:Kameo, K.; Kumagai, T.; Nakazato, A.; Okubo, T. (Taisho Pharmaceutical Co., Ltd.)
来源:EP 1299378; WO 0202549
合成路线图解说明:

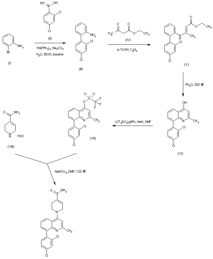
Suzuki coupling of 2-bromoaniline (I) with 2,4-dichlorophenylboronic acid (II) affords the biphenylyl amine (III). This is condensed with ethyl acetoacetate (IV) to produce enamine (V), which is further cyclized in hot diphenyl ether to furnish the hydroxyquinoline (VI). Treatment of the sodium salt of (VI) with N-phenyl trifluoromethanesulfonimide gives rise to the aryl triflate (VII). Finally, displacement of the sulfonate group of (VII) with 1,2,3,6-tetrahydropyridine-4-carboxamide (VIII) in hot DMF provides the title compound

合成路线图解说明:

Alternatively, hydroxyquinoline (I) is chlorinated in refluxing POCl3 to provide chloroquinoline (II). Substitution of (II) with 4-piperidone ethylene ketal (III) in boiling DMF furnishes the piperidinyl quinoline derivative (IV), which is further hydrolyzed to piperidone (V) under acidic conditions. Addition of cyanide to piperidone (V) gives rise to cyanohydrin (VI), and subsequent dehydration by means of POCl3/pyridine affords the unsaturated nitrile (VII). Finally, partial hydrolysis of nitrile (VII) with HCl in formic acid leads to the target amide compound

合成路线图解说明:

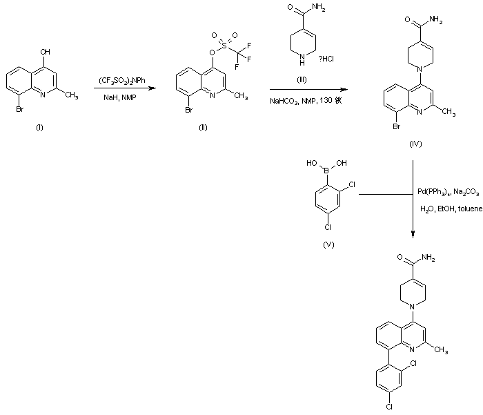
In a related synthetic strategy, 8-bromo-4-hydroxy-2-methylquinoline (I) is converted to aryl triflate (II) by using N-phenyl trifluoromethanesulfonimide and NaH. Displacement of the triflate group of (II) with 1,2,3,6-tetrahydropyridine-4-carboxamide (III) gives the tetrahydropyridyl quinoline (IV). The bromoquinoline (IV) is finally subjected to Suzuki coupling with 2,4-dichlorophenylboronic acid (V) to produce the title compound

参考文献No.686471
标题:Synthesis, SAR and biological activities of CRH1 receptor: Novel 3- or 4-carbamoyl-1,2,5,6-tetrahydropyridinoquinoline derivative
作者:Kennis, L.; Kumagai, T.; Nakazato, A.; et al.
来源:224th ACS Natl Meet (Aug 18 2002, Boston) 2002,Abst MEDI 258
合成路线图解说明:

Suzuki coupling of 2-bromoaniline (I) with 2,4-dichlorophenylboronic acid (II) affords the biphenylyl amine (III). This is condensed with ethyl acetoacetate (IV) to produce enamine (V), which is further cyclized in hot diphenyl ether to furnish the hydroxyquinoline (VI). Treatment of the sodium salt of (VI) with N-phenyl trifluoromethanesulfonimide gives rise to the aryl triflate (VII). Finally, displacement of the sulfonate group of (VII) with 1,2,3,6-tetrahydropyridine-4-carboxamide (VIII) in hot DMF provides the title compound

参考文献No.686825
标题:Chemical modification of 4-carbamoyl-1,2,3,6-tetrahydropyridinopyrrolopyrimidine, CRA0316, for discovery CRH1 receptor antagonists
作者:Nakazato, A.; et al.
来源:Drugs Fut 2002,27(Suppl. A),
合成路线图解说明:

Suzuki coupling of 2-bromoaniline (I) with 2,4-dichlorophenylboronic acid (II) affords the biphenylyl amine (III). This is condensed with ethyl acetoacetate (IV) to produce enamine (V), which is further cyclized in hot diphenyl ether to furnish the hydroxyquinoline (VI). Treatment of the sodium salt of (VI) with N-phenyl trifluoromethanesulfonimide gives rise to the aryl triflate (VII). Finally, displacement of the sulfonate group of (VII) with 1,2,3,6-tetrahydropyridine-4-carboxamide (VIII) in hot DMF provides the title compound

Drug Information Express,Drug R&D,Chemical Database,Patent Search.
Copyright © 2006-2026 Drug Future. All rights reserved.Contact Us