【药物名称】
化学结构式(Chemical Structure):
参考文献No.686438
标题:Lead optimization of imidazole-containing inhibitors of farnesyl transferase
作者:Wang, G.T.; et al.
来源:224th ACS Natl Meet (Aug 18 2002, Boston) 2002,Abst MEDI 130
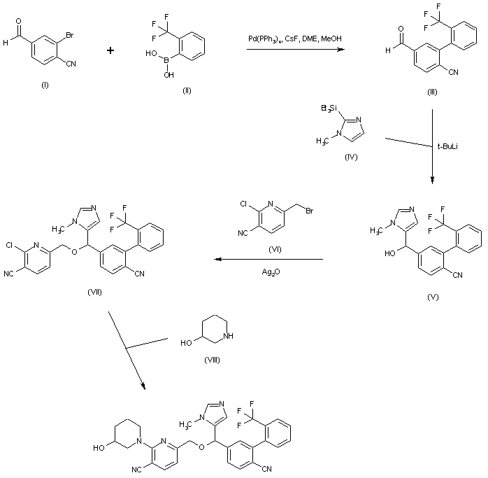
合成路线图解说明:

Suzuki coupling between 2-bromo-4-formylbenzonitrile (I) and 2-(trifluoromethyl)phenylboronic acid (II) affords the biphenyl aldehyde (III). The lithiated derivative of imidazole (IV) is then added to aldehyde (III), producing carbinol (V). Alkylation of (V) with the bromomethylpyridine (VI) by using Ag2O yields ether (VII). The chlorine atom of (VII) is finally displaced with 3-hydroxypiperidine (VIII) to provide the title compound.

Drug Information Express,Drug R&D,Chemical Database,Patent Search.
Copyright © 2006-2026 Drug Future. All rights reserved.Contact Us