【药物名称】
化学结构式(Chemical Structure):
参考文献No.39435
标题:Cyclic amino acid derivs. as cell adhesion inhibitors
作者:Hagmann, W.K.; MacCoss, M.; Chang, L. (Merck & Co., Inc.)
来源:JP 2001523711; US 6271252; WO 9926615
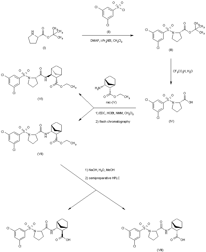
合成路线图解说明:

Acylation of L-proline t-butyl ester (I) with 3,5-dichlorobenzenesulfonyl chloride (II) affords sulfonamide (III). The tert-butyl ester group of (III) is then cleaved by treatment with aqueous trifluoroacetic acid, yielding carboxylic acid (IV). Coupling of sulfonyl proline (IV) with the racemic 3-endo-amino-bicyclo[2.2.1]heptane-2-endo-carboxylate (V) leads to a mixture of four diastereoisomeric amides, resulting from carboxylate group epimerization. This mixture can be separated into two pairs of diastereoisomers (VI) and (VII) by flash chromatography. The desired diastereoisomeric mixture of esters (VII) is then hydrolyzed under alkaline conditions to furnish the title carboxylic acid along with its epimer (VIII).

参考文献No.686369
标题:Orally active, conformationally constrained small molecule VLA-4 antagonists
作者:Chang, L.L.; Truong, Q.; Doss, G.; et al.
来源:224th ACS Natl Meet (Aug 18 2002, Boston) 2002,Abst MEDI 325
合成路线图解说明:

Acylation of L-proline t-butyl ester (I) with 3,5-dichlorobenzenesulfonyl chloride (II) affords sulfonamide (III). The tert-butyl ester group of (III) is then cleaved by treatment with aqueous trifluoroacetic acid, yielding carboxylic acid (IV). Coupling of sulfonyl proline (IV) with the racemic 3-endo-amino-bicyclo[2.2.1]heptane-2-endo-carboxylate (V) leads to a mixture of four diastereoisomeric amides, resulting from carboxylate group epimerization. This mixture can be separated into two pairs of diastereoisomers (VI) and (VII) by flash chromatography. The desired diastereoisomeric mixture of esters (VII) is then hydrolyzed under alkaline conditions to furnish the title carboxylic acid along with its epimer (VIII).

合成路线图解说明:

In an alternative procedure, Diels-Alder condensation between methyl (E)-3-nitroacrylate (I) and cyclopentadiene (II) produces a mixture of bicyclic adducts (III) and (IV) in a 6:1 ratio. After chromatographic isolation of the major isomer (III), catalytic hydrogenation of its olefin double bond in the presence of PtO2 yields nitro ester (V). Subsequent nitro group reduction in (V) by transfer hydrogenation with ammonium formate and Pd/C produces the racemic amino ester (VI). Coupling of racemic (VI) with carboxylic acid (VII) leads to a mixture of diastereoisomeric amides (VIII) and (IX). Finally, after alkaline hydrolysis of its methyl ester function, the target carboxylic acid isomer is isolated by flash chromatography.

Drug Information Express,Drug R&D,Chemical Database,Patent Search.
Copyright © 2006-2026 Drug Future. All rights reserved.Contact Us