【药物名称】
化学结构式(Chemical Structure):
参考文献No.42363
标题:Diarylbenzopyran derivs. as cyclooxygenase-2 inhibitors
作者:Kim, J.K.; Choi, J.K.; Lee, C.H.; Joo, Y.H.; Noh, M.-S.; Ha, J.-Y.; Lim, K.M.; Kang, S.-H. (Pacific Corp.)
来源:EP 1105384; JP 2002523410; US 6340694; WO 0010993
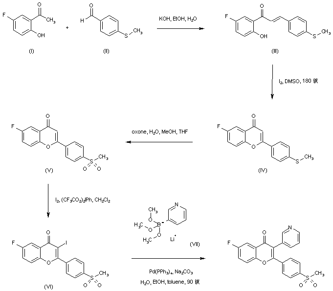
合成路线图解说明:

Aldol condensation between 5'-fluoro-2'-hydroxyacetophenone (I) and 4-(methylthio)benzaldehyde (II) produces chalcone (III). Oxidative cyclization of (III) in hot DMSO in the presence of iodine leads to the flavone compound (IV). Further oxidation of the methylthio group of (IV) employing oxone furnishes sulfone (V). Conversion of flavone (V) into the 3-iodo derivative (VI) is carried out by treatment with iodine and bis(trifluoroacetoxy)iodobenzene. Finally, Suzuki coupling of the iodoflavone (VI) with lithium trimethoxy-3-pyridylboronate (VII) provides the desired 2,3-diaryl benzopyranone

参考文献No.686362
标题:Diarylbenzopyran derivatives as a selective inhibitor of cyclooxygenase-2
作者:Joo, Y.H.; Kim, J.K.; Kang, S-H.; Noh, M-S.; Ha, J-Y.; Choi, J.K.; Lim, K.M.; Lee, C.H.; Chung, S.
来源:224th ACS Natl Meet (Aug 18 2002, Boston) 2002,Abst MEDI 313
合成路线图解说明:

Aldol condensation between 5'-fluoro-2'-hydroxyacetophenone (I) and 4-(methylthio)benzaldehyde (II) produces chalcone (III). Oxidative cyclization of (III) in hot DMSO in the presence of iodine leads to the flavone compound (IV). Further oxidation of the methylthio group of (IV) employing oxone furnishes sulfone (V). Conversion of flavone (V) into the 3-iodo derivative (VI) is carried out by treatment with iodine and bis(trifluoroacetoxy)iodobenzene. Finally, Suzuki coupling of the iodoflavone (VI) with lithium trimethoxy-3-pyridylboronate (VII) provides the desired 2,3-diaryl benzopyranone

Drug Information Express,Drug R&D,Chemical Database,Patent Search.
Copyright © 2006-2026 Drug Future. All rights reserved.Contact Us