【药物名称】
化学结构式(Chemical Structure):
参考文献No.686361
标题:Heteroatom-bridged substituted 8-arylquinolines as potent PDE IV inhibitors
作者:Lacombe, P.; Dub? D.; Deschenes, D.; et al.
来源:224th ACS Natl Meet (Aug 18 2002, Boston) 2002,Abst MEDI 328
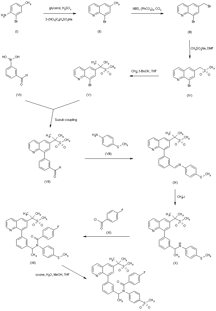
合成路线图解说明:

2-Bromo-4-methylaniline (I) is converted to quinoline (II) upon condensation with glycerol under Skraup synthesis conditions. Radical bromination of (II) with N-bromosuccinimide affords the benzylic bromide (III), which is subsequently displaced with sodium methanesulfinate to yield sulfone (IV). Alkylation of sulfone (IV) with iodomethane in the presence of potassium tert-butoxide affords the dimethylated sulfone (V). This is then subjected to Suzuki coupling with the boronic acid (VI) to produce the 8-aryl quinoline (VII). Condensation of aldehyde (VII) with 4-(methylthio)aniline (VIII) generates imine (IX), to which methyllithium is added to furnish the alpha methylated amine (X). Acylation of amine (X) by 4-fluorobenzoyl chloride (XI) gives amide (XII). The methylsulfanyl group of (XII) is finally oxidized with oxone to the target bis-sulfone derivative.

Drug Information Express,Drug R&D,Chemical Database,Patent Search.
Copyright © 2006-2026 Drug Future. All rights reserved.Contact Us