【药物名称】
化学结构式(Chemical Structure):
参考文献No.47854
标题:Piperazine derivs. and their use as anti-inflammatory agents
作者:Monahan, S.D.; Xu, W.; Morissey, M.M.; Bauman, J.G.; Ng, H.P.; Hesselgesser, J.E.; Liang, M.; Zheng, W.; Islam, I.; May, K.B.; Ghannam, A.F.; Buckman, B.O.; Horuk, R.; Wei, G.P. (Schering AG)
来源:US 6207665; WO 9856771
合成路线图解说明:

Condensation of chloroacetyl derivative (I) with phenolic compound (II) by means of K2CO3 in DMF affords the desired compound.

合成路线图解说明:

Alkylation of (R)-2-methylpiperazine (I) with 4-fluorobenzyl bromide (II) provides 1-(4-fluorobenzyl)-3-methylpiperazine (III). Subsequent acylation of piperazine (III) with (4-chlorophenoxy)acetyl chloride (IV) furnishes the title amide.

合成路线图解说明:

In a further method, 1-(4-fluorobenzyl)-3-methylpiperazine (I) is acylated by chloroacetyl chloride to provide the chloroacetamide (II). Subsequent chloride displacement with 4-chlorophenol (III) leads to the target chlorophenoxy acetamide.

参考文献No.686354
标题:Synthesis and SAR of CCR1-specific non-peptide antagonists
作者:Islam, I.; May, K.; Bauman, J.; et al.
来源:224th ACS Natl Meet (Aug 18 2002, Boston) 2002,Abst MEDI 334
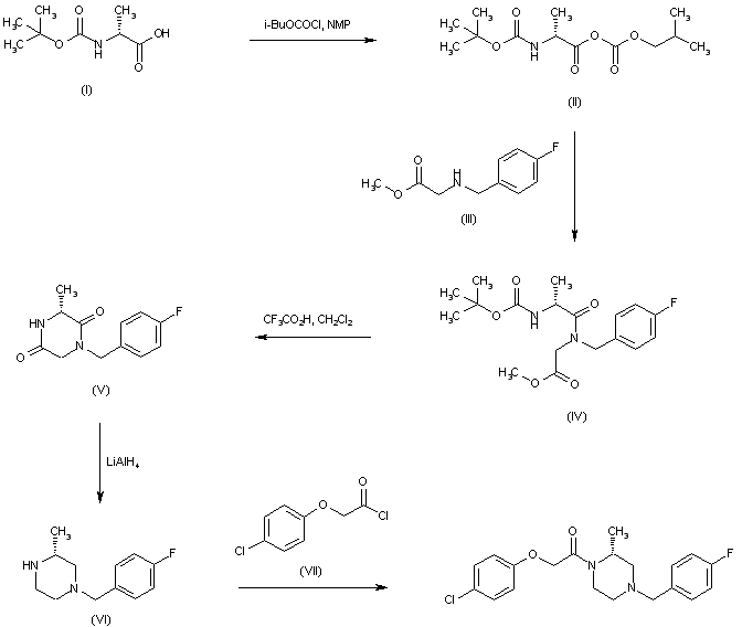
合成路线图解说明:

In an alternative procedure, N-Boc-D-alanine (I) is activated as the mixed anhydride (II) by treatment with isobutyl chloroformate. Coupling of anhydride (II) with N-(4-fluorobenzyl)glycine methyl ester (III) produces dipeptide (IV). Further cleavage of the N-Boc protecting group of (IV) under acidic conditions proceeds with concomitant cyclization to the diketopiperazine (V). This is then reduced by means of LiAlH4 to piperazine (VI). Finally, acylation of piperazine (VI) with (4-chlorophenoxy)acetyl chloride (VII) provides the title compound.

Drug Information Express,Drug R&D,Chemical Database,Patent Search.
Copyright © 2006-2026 Drug Future. All rights reserved.Contact Us