【药物名称】TAK-810
化学结构式(Chemical Structure):
参考文献No.41698
标题:Thienopyridine cpds., their production and use
作者:Suzuki, N.; Furuya, S.; Choh, N.; Imada, T. (Takeda Chemical Industries, Ltd.)
来源:EP 1090010; JP 2000219690; JP 2000219691; US 6262267; US 6329388; WO 0000493
合成路线图解说明:

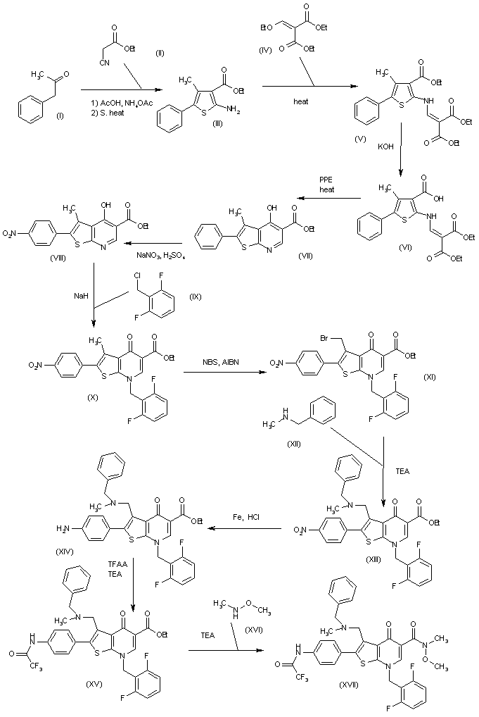
The cyclization of phenylacetone (I) with ethyl cyanoacetate (II) by means of HOAc and AcONH4 in refluxing benzene, followed by a treatment with sulfur in hot ethanol gives 2-amino-4-methyl-5-phenylthiophene-3-carboxylic acid ethyl ester (III). The condensation of (III) with diethyl ethoxymethylene malonate (IV) by heating at 120 C yields the adduct (V), which is submitted to a selective hydrolysis with KOH in hot ethanol to afford the carboxylic acid (VI). The cyclization of (VI) by means of PPE at 120 C provides the thienopyridine (VII), which is nitrated with NaNO3 and H2SO4 to give the 4-nitrophenyl derivative (VIII). The alkylation of the hydroxy-thienopyridine (VIII) with 2,6-difluorobenzyl chloride (IX) by means of NaH in DMF yields the benzylated thienopyridinone (X), which is brominated with NBS and AIBN in refluxing CCl4 to afford the bromomethyl derivative (XI). The condensation of (XI) with N-benzyl-N-methylamine (XII) by means of TEA in DMF provides the tertiary amine (XIII). The reduction of the nitro group of (XIII) by means of Fe and HCl in ethanol gives the 4-aminophenyl derivative (XIV), which is acylated with trifluoroacetic anhydride and TEA to yield the acetamide (XV). The reaction of (XV) with N,O-dimethylhydroxylamine (XVI) and TEA in CH2Cl2 affords the methoxyamide (XVII).

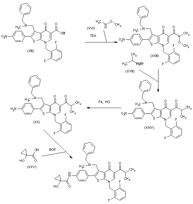
合成路线图解说明:

Alternatively, the ethyl ester group of (XIII) is treated with N,O-dimethylhydroxylamine (XVI) and TEA as before to give the methoxyamide (XXIII), which is treated with isopropylmagnesium bromide (XVIII) in dioxane to yield the isobutyryl derivative (XXIV). The reduction of the nitro group of (XXIV) by means of Fe and HCl in ethanol affords the aromatic amine (XX), which is finally acylated with 1-hydroxycyclopropanecarboxylic acid (XXV) by means of BOP and DIEA in CH2Cl2 to provide the target thienopyridinone derivative.

参考文献No.686356
标题:Discovery of the thieno[2,3-b]pyridin-4-one derivative TAK-810: Highly potent and orally active nonpeptide LHRH (GnRH) antagonist (I)
作者:Imada, T.; Fujino, M.; Suzuki, N.; Harada, M.; Kasai, S.; Sasaki, S.; Endo, S.; Hayase, Y.; Furuya, S.; Cho, N.
来源:224th ACS Natl Meet (Aug 18 2002, Boston) 2002,Abst MEDI 353
合成路线图解说明:

The cyclization of phenylacetone (I) with ethyl cyanoacetate (II) by means of HOAc and AcONH4 in refluxing benzene, followed by a treatment with sulfur in hot ethanol gives 2-amino-4-methyl-5-phenylthiophene-3-carboxylic acid ethyl ester (III). The condensation of (III) with diethyl ethoxymethylene malonate (IV) by heating at 120 C yields the adduct (V), which is submitted to a selective hydrolysis with KOH in hot ethanol to afford the carboxylic acid (VI). The cyclization of (VI) by means of PPE at 120 C provides the thienopyridine (VII), which is nitrated with NaNO3 and H2SO4 to give the 4-nitrophenyl derivative (VIII). The alkylation of the hydroxy-thienopyridine (VIII) with 2,6-difluorobenzyl chloride (IX) by means of NaH in DMF yields the benzylated thienopyridinone (X), which is brominated with NBS and AIBN in refluxing CCl4 to afford the bromomethyl derivative (XI). The condensation of (XI) with N-benzyl-N-methylamine (XII) by means of TEA in DMF provides the tertiary amine (XIII). The reduction of the nitro group of (XIII) by means of Fe and HCl in ethanol gives the 4-aminophenyl derivative (XIV), which is acylated with trifluoroacetic anhydride and TEA to yield the acetamide (XV). The reaction of (XV) with N,O-dimethylhydroxylamine (XVI) and TEA in CH2Cl2 affords the methoxyamide (XVII).

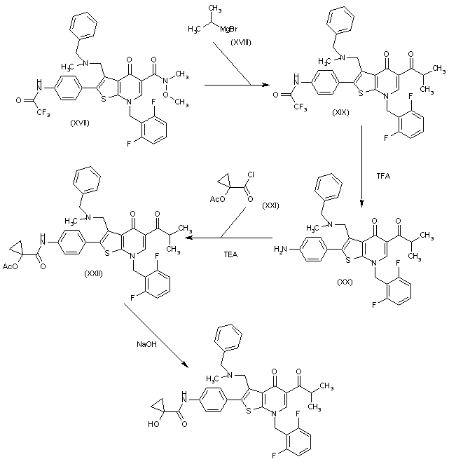
合成路线图解说明:

The reaction of the methoxyamide (XVII) with isopropylmagnesium bromide (XVIII) in dioxane gives the isobutyryl derivative (XIX), which is deacylated by means of TFA in dichloromethane to yield the aromatic amine (XX). The acylation of (XX) with 1-acetoxycyclopropanecarbonyl chloride (XXI) by means of TEA in dichloromethane affords the corresponding amide (XXII), which is finally deacetylated by means of NaOH in MeOH to provide the target thienopyridinone derivative.

Drug Information Express,Drug R&D,Chemical Database,Patent Search.
Copyright © 2006-2026 Drug Future. All rights reserved.Contact Us