【药物名称】
化学结构式(Chemical Structure):
参考文献No.56361
标题:Bridged piperidines promote release of growth hormone
作者:Patchett, A.A.; Tata, J.R.; Lu, Z. (Merck & Co., Inc.)
来源:US 5731317
合成路线图解说明:

Tropinone (I) is demethylated by treatment with 1-chloroethyl chloroformate, followed by decomposition of the intermediate carbamate in refluxing MeOH. The resultant N-nortropinone (II) is then protected with Boc2O to produce (III). Treatment of N-Boc-nortropinone (III) with N-phenyl trifluoromethanesulfonimide in the presence of potassium bis(trimethylsilyl)amide gives rise to the vinyl triflate (IV), which is further converted to the stannyl derivative (V) with hexamethylditin in the presence of palladium catalyst. Stille coupling of the stannyl compound (V) with ethyl 2-bromobenzoate (VI) produces the aryl tropane derivative (VII). Catalytic hydrogenation of the double bond of (VII) gives rise to a mixture of cis (VIII) and trans (IX) saturated isomers, which are separated by either chromatography or by recrystallization. The desired isomer (VIII) is then deprotected under acidic conditions to furnish the secondary amine (X). Coupling of (X) with (R)-N-Boc-2-amino-5-phenylpentanoic acid (XI) yields amide (XII).

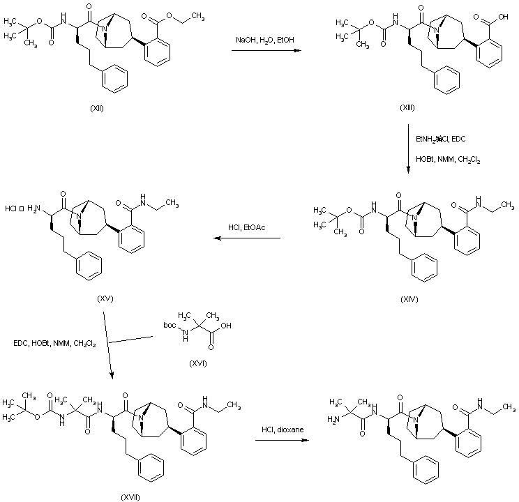
合成路线图解说明:

Alkaline hydrolysis of ethyl ester (XII) affords acid (XIII), which is further coupled to ethylamine, producing amide (XIV). Then, removal of the N-Boc group of (XIV) with HCl in EtOAc gives amine (XV). This is coupled to N-Boc-alpha-methylalanine (XVI) to furnish the dipeptide derivative (XVII). Finally, acidic Boc-group cleavage in (XVII) leads to the title compound.

参考文献No.686387
标题:FTY720, a novel therapeutic for transplantation and autoimmunity, targets G-protein-coupled receptors for sphingosine-1-phosphate
作者:Brinkmann, V.; Hesise, C.E.; Davis, M.D.; et al.
来源:19th Int Congr Transplant Soc (Aug 25 2002, Miami) 2002,Abst 0116
合成路线图解说明:

Tropinone (I) is demethylated by treatment with 1-chloroethyl chloroformate, followed by decomposition of the intermediate carbamate in refluxing MeOH. The resultant N-nortropinone (II) is then protected with Boc2O to produce (III). Treatment of N-Boc-nortropinone (III) with N-phenyl trifluoromethanesulfonimide in the presence of potassium bis(trimethylsilyl)amide gives rise to the vinyl triflate (IV), which is further converted to the stannyl derivative (V) with hexamethylditin in the presence of palladium catalyst. Stille coupling of the stannyl compound (V) with ethyl 2-bromobenzoate (VI) produces the aryl tropane derivative (VII). Catalytic hydrogenation of the double bond of (VII) gives rise to a mixture of cis (VIII) and trans (IX) saturated isomers, which are separated by either chromatography or by recrystallization. The desired isomer (VIII) is then deprotected under acidic conditions to furnish the secondary amine (X). Coupling of (X) with (R)-N-Boc-2-amino-5-phenylpentanoic acid (XI) yields amide (XII).

合成路线图解说明:

Alkaline hydrolysis of ethyl ester (XII) affords acid (XIII), which is further coupled to ethylamine, producing amide (XIV). Then, removal of the N-Boc group of (XIV) with HCl in EtOAc gives amine (XV). This is coupled to N-Boc-alpha-methylalanine (XVI) to furnish the dipeptide derivative (XVII). Finally, acidic Boc-group cleavage in (XVII) leads to the title compound.

Drug Information Express,Drug R&D,Chemical Database,Patent Search.
Copyright © 2006-2026 Drug Future. All rights reserved.Contact Us