【药物名称】CP-B, CMP-3
化学结构式(Chemical Structure):
参考文献No.49939
标题:EP4 receptor selective agonists in the treatment of osteoporosis
作者:Thompson, D.D.; Lefker, B.A.; Cameron, K.O.; Ke, H.Z. (Pfizer Products Inc.)
来源:EP 1110949; JP 2001181210; WO 0146140
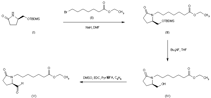
合成路线图解说明:

Alkylation of (R)-5-(t-butyldimethylsilyloxymethyl)pyrrolidin-2-one (I) with ethyl 7-bromoheptanoate (II) affords the pyrrolidone-ester (III). After removal of the silyl protecting group of (III) with tetrabutylammonium fluoride, the resultant alcohol (IV) is oxidized to aldehyde (V) under modified Swern conditions, using DMSO/EDC

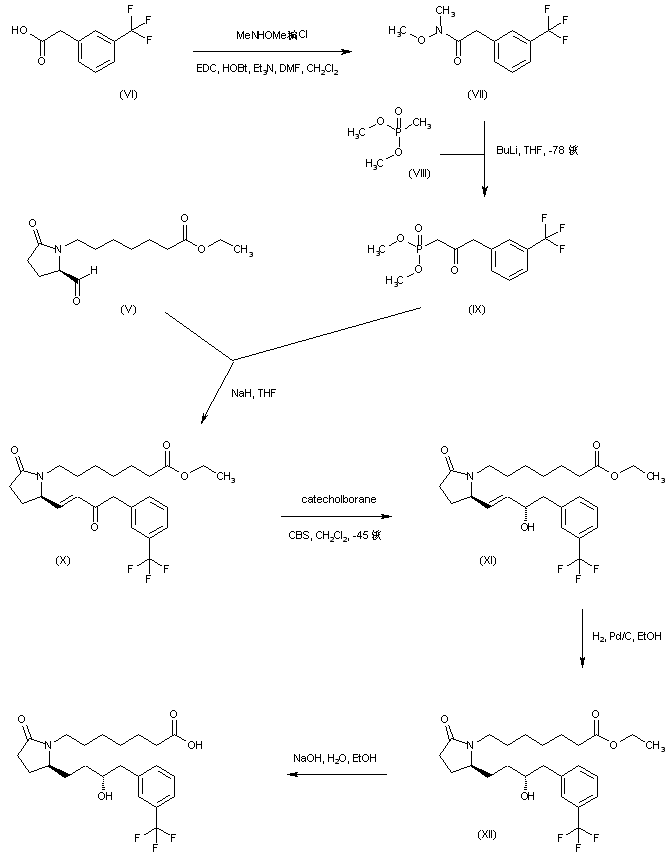
合成路线图解说明:

[3-(Trifluoromethyl)phenyl]acetic acid (VI) is coupled to N,O-dimethylhydroxylamine to produce the N-methoxy amide (VII). Subsequent condensation of methoxyamide (VII) with dimethyl methylphosphonate (VIII) in the presence of BuLi leads to the oxo phosphonate (IX). Horner-Emmons condensation of phosphonate (IX) with aldehyde (V) furnishes enone (X). Diastereoselective reduction of (X) by means of catecholborane in the presence of (R)-2-methyl-CBS-oxazaborolidine in cold CH2Cl2 provides the allylic alcohol (XI) as the major isomer. Subsequent catalytic hydrogenation of (XI) gives the saturated alcohol (XII). Finally, basic hydrolysis of the ethyl ester group of (XII) produces the target carboxylic acid

参考文献No.686359
标题:Discovery and bone anabolic activity of highly selective EP4 receptor prostaglandin E2 (PGE2) agonists
作者:Cameron, K.O.; Crawford, D.T.; DaSilva-Jardine, P.; et al.
来源:224th ACS Natl Meet (Aug 18 2002, Boston) 2002,Abst MEDI 307
合成路线图解说明:

Alkylation of (R)-5-(t-butyldimethylsilyloxymethyl)pyrrolidin-2-one (I) with ethyl 7-bromoheptanoate (II) affords the pyrrolidone-ester (III). After removal of the silyl protecting group of (III) with tetrabutylammonium fluoride, the resultant alcohol (IV) is oxidized to aldehyde (V) under modified Swern conditions, using DMSO/EDC

合成路线图解说明:

[3-(Trifluoromethyl)phenyl]acetic acid (VI) is coupled to N,O-dimethylhydroxylamine to produce the N-methoxy amide (VII). Subsequent condensation of methoxyamide (VII) with dimethyl methylphosphonate (VIII) in the presence of BuLi leads to the oxo phosphonate (IX). Horner-Emmons condensation of phosphonate (IX) with aldehyde (V) furnishes enone (X). Diastereoselective reduction of (X) by means of catecholborane in the presence of (R)-2-methyl-CBS-oxazaborolidine in cold CH2Cl2 provides the allylic alcohol (XI) as the major isomer. Subsequent catalytic hydrogenation of (XI) gives the saturated alcohol (XII). Finally, basic hydrolysis of the ethyl ester group of (XII) produces the target carboxylic acid

Drug Information Express,Drug R&D,Chemical Database,Patent Search.
Copyright © 2006-2026 Drug Future. All rights reserved.Contact Us