【药物名称】
化学结构式(Chemical Structure):
参考文献No.686358
标题:Design and synthesis of potent and selective 4,4-disubstituted alpha-sulphones hydroxamates as MMP inhibitors
作者:Becker, D.P.; Villamil, C.; Barta, T.E.; et al.
来源:224th ACS Natl Meet (Aug 18 2002, Boston) 2002,Abst MEDI 309
合成路线图解说明:

Tetrahydropyran-4-carboxylic acid tert-butyl ester (I) is treated with 4-fluorophenyl disulfide (II) in the presence of LDA to produce sulfide (III), which is further oxidized to the corresponding sulfone (IV) utilizing m-chloroperbenzoic acid. Displacement of the aryl fluoride (IV) with the sodium alkoxide of 3-(dibenzylamino)-1-propanol (V) affords the amino ether (VI). Debenzylation of (VI) by hydrogenation in the presence of Pd(OH)2/C gives the primary amine (VII). This is coupled with N-Boc-D-alanine (VIII) employing EDC to provide amide (IX). Cyclization of (IX) in the presence of DMAP, NMM and Boc2O leads to the N-protected hydantoin (X). The N-Boc group of (X) is then selectively removed by HCl in dioxane to furnish (XI).

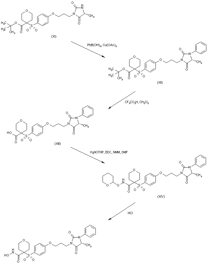
合成路线图解说明:

N-Arylation of hydantoin (XI) with phenylboronic acid in the presence of cupric acetate gives rise to the N-phenyl hydantoin (XII). Subsequent hydrolysis of the tert-butyl ester with trifluoroacetic acid in CH2Cl2 affords acid (XIII). This is then coupled with O-(tetrahydropyranyl)-hydroxylamine, yielding the tetrahydropyranyl-protected hydroxamic acid (XIV). Finally, removal of the tetrahydropyranyl protecting group of (XIV) under acidic conditions provides the title compound.

Drug Information Express,Drug R&D,Chemical Database,Patent Search.
Copyright © 2006-2026 Drug Future. All rights reserved.Contact Us