【药物名称】ELB-176, AWD-34-176
化学结构式(Chemical Structure):
参考文献No.54316
标题:2,5-Dihydro-pyrazolo[3,4-d]pyrimidin-4-ones with an anticonvulsive action and methods for producing the same
作者:Lankau, H.-J.; Unverferth, K.; Tober, C.; Rundfeldt, C.; Arnold, T.; Dost, R.; Gasparic, A.; Bern鰏ter, K. (AWD.pharma GmbH & Co. KG)
来源:WO 0218387
合成路线图解说明:

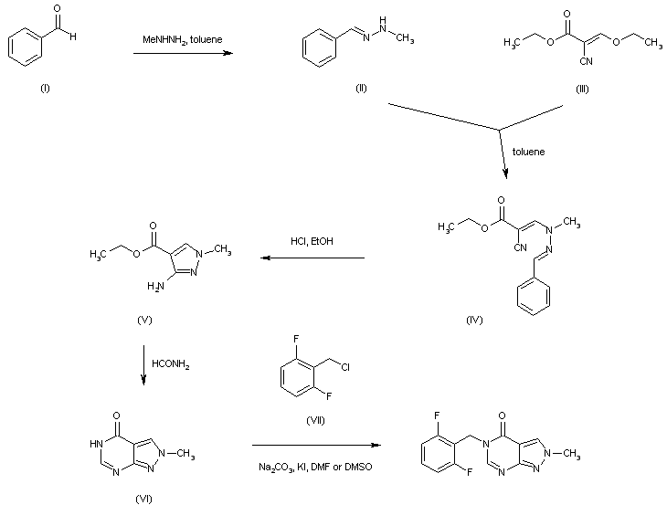
Benzaldehyde (I) is converted into the corresponding hydrazone (II) upon treatment with methylhydrazine in toluene. Condensation of hydrazone (II) with ethyl (ethoxymethylene)cyanoacetate (III) produces the hydrazinomethylene cyanoacetate (IV), which is further cyclized to the pyrazole (V) under acidic conditions (1). Heating of amino ester (V) with formamide gives rise to the pyrazolopyrimidinone (VI). This is finally alkylated with 2,6-difluorobenzyl chloride (VII) to furnish the title compound

参考文献No.686818
标题:Synthesis and anticonvulsant activity of AWD 34-176
作者:Unverferth, K.; Lankau, H-J.; Arnold, T.
来源:Drugs Fut 2002,27(Suppl. A),
合成路线图解说明:

Benzaldehyde (I) is converted into the corresponding hydrazone (II) upon treatment with methylhydrazine in toluene. Condensation of hydrazone (II) with ethyl (ethoxymethylene)cyanoacetate (III) produces the hydrazinomethylene cyanoacetate (IV), which is further cyclized to the pyrazole (V) under acidic conditions (1). Heating of amino ester (V) with formamide gives rise to the pyrazolopyrimidinone (VI). This is finally alkylated with 2,6-difluorobenzyl chloride (VII) to furnish the title compound

Drug Information Express,Drug R&D,Chemical Database,Patent Search.
Copyright © 2006-2026 Drug Future. All rights reserved.Contact Us