【药物名称】R-107500
化学结构式(Chemical Structure):
参考文献No.30003
标题:Substd. tetracyclic azepine derivs. which have affinity for 5-HT2 receptors
作者:Sipido, V.K.; Fernandez-Gadea, F.J.; Andres-Gil, J.I.; Meert, T.F.; Gil-Lopetegui, P. (Janssen Pharmaceutica NV)
来源:EP 0789701; JP 1998508308; US 5552399; WO 9614320
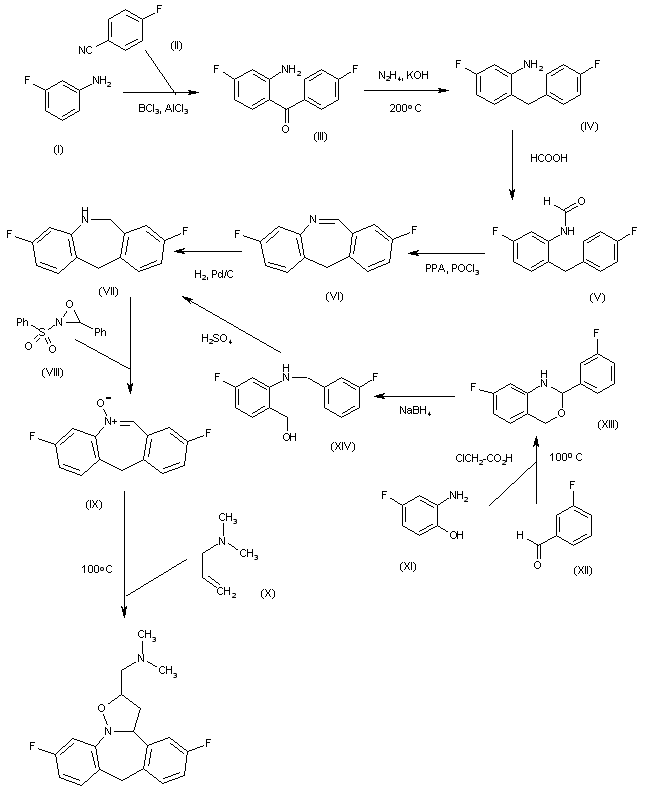
合成路线图解说明:

The condensation of 3-fluoroaniline (I) with 4-fluorobenzonitrile (II) by means of BCl3 and AlCl3 in xylene at 120 C gives the benzophenone (III), which is reduced with hydrazine and KOH in ethyleneglycol at 200?C to yield the diphenylmethane (IV). The acylation of the NH2 group of (IV) with refluxing formic acid affords the formamide (V), which is cyclized by means of PPA and POCl3 in xylene at 100 C to provide the dibenzazepine (VI). The reduction of (VI) with H2 over Pd/C in THF/methanol gives the corresponding dihydro compound (VII), which is oxidized with 3-phenyl-2-(phenylsulfonyl)oxaziridine (VIII) in dichloromethane to yield the N-oxide (IX). Finally, this compound is cyclized with N-allyl-N,N-dimethylamine (X) by heating in toluene at 100 C to afford the target oxazolidine derivative. Alternatively, the cyclization of 5-fluoro-2-hydroxyaniline (XI) with 3-fluorobenzaldehyde (XII) by means of chloroacetic acid at 100 C in methanol or isopropanol gives 7-fluoro-2-(4-fluorophenyl)-2,4-dihydro-1H-3,1-benzoxazine (XIII), which is reduced with NaBH4 in refluxing ethanol to yield N-(3-fluorobenzyl)-N-[2-(hydroxymethyl)-5-fluorophenyl]amine (XIV). Finally, this compound is cyclized by means of H2SO4 in dichloromethane to afford the previously described dihydro-benzodiazepine (VII), which is worked up as before.

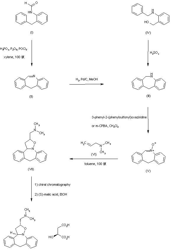
合成路线图解说明:

Intramolecular cyclization of N-(2-benzylphenyl)formamide (I) in the presence of phosphoric acid and phosphoryl chloride affords dibenzoazepine (II). Subsequent catalytic hydrogenation of (II) over Pd/C gives rise to the dihydro derivative (III). Alternatively, the tricyclic compound (III) has been obtained by ring closure of 2-(benzylamino)benzyl alcohol (IV) under acidic conditions. Oxidation of (III) employing either the Davis reagent (3-phenyl-2-(phenylsulfonyl)oxaziridine) or m-chloroperbenzoic acid furnishes nitrone (V). The cycloaddition of nitrone (V) with N,N-dimethyl allylamine (VI) gives rise to the isoxazolidine adduct (VII) as a mixture of diastereoisomers. Separation of the racemic cis/trans-isomers by silica gel column chromatography, followed by separation of the enantiomers on a chiral solid phase, provides the target (R,R)-enantiomer, which is finally isolated as the corresponding L-malate salt.

参考文献No.707381
标题:Development of a safe and scalable amine-to-nitrone oxidation: A key step in the synthesis of R107500
作者:Lambrechts, A.; De Smaele, D.; Van den Heuvel, D.; Van den Bergh, L.; Leurs, S.; Stappers, F.; Agten, J.; Broeckx, R.
来源:Org Process Res Dev 2002,6(6),911
合成路线图解说明:

Intramolecular cyclization of N-(2-benzylphenyl)formamide (I) in the presence of phosphoric acid and phosphoryl chloride affords dibenzoazepine (II). Subsequent catalytic hydrogenation of (II) over Pd/C gives rise to the dihydro derivative (III). Alternatively, the tricyclic compound (III) has been obtained by ring closure of 2-(benzylamino)benzyl alcohol (IV) under acidic conditions. Oxidation of (III) employing either the Davis reagent (3-phenyl-2-(phenylsulfonyl)oxaziridine) or m-chloroperbenzoic acid furnishes nitrone (V). The cycloaddition of nitrone (V) with N,N-dimethyl allylamine (VI) gives rise to the isoxazolidine adduct (VII) as a mixture of diastereoisomers. Separation of the racemic cis/trans-isomers by silica gel column chromatography, followed by separation of the enantiomers on a chiral solid phase, provides the target (R,R)-enantiomer, which is finally isolated as the corresponding L-malate salt.

Drug Information Express,Drug R&D,Chemical Database,Patent Search.
Copyright © 2006-2026 Drug Future. All rights reserved.Contact Us