【药物名称】
化学结构式(Chemical Structure):
参考文献No.47776
标题:Melanocortin-4 receptor binding cpds. and methods of use thereof
作者:Maguire, M.P.; Dai, M.; Vos, T.J. (Millennium Pharmaceuticals, Inc.)
来源:WO 0110842
合成路线图解说明:

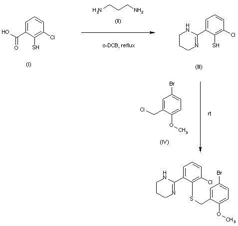
Condensation of 3-chloro-thiosalicylic acid (I) with 1,3-propanediamine (II) in boiling ortho-dichlorobenzene leads to the cyclic amidine (III). Subsequent alkylation of the thiol group of (III) with 5-bromo-2-methoxybenzyl chloride (IV) furnishes the target thioether

Drug Information Express,Drug R&D,Chemical Database,Patent Search.
Copyright © 2006-2026 Drug Future. All rights reserved.Contact Us