【药物名称】
化学结构式(Chemical Structure):
参考文献No.56998
标题:Aminal diones as potassium channel openers
作者:Basha, F.Z.; Carroll, W.A.; Kort, M.E.; Gregg, R.J.; Dinges, J.; Perez Medrano, A. (Abbott Laboratories Inc.)
来源:US 2002165264; US 6495576; WO 0262761
合成路线图解说明:

Condensation between 3-amino-2-chloropyridine (I) and 3,4-diethoxycyclobut-3-ene-1,2-dione (II) in refluxing EtOH affords the (pyridylamino)cyclobutenedione (III). The remaining ethoxy group of (III) is then displaced with methanolic ammonia to furnish the diamino cyclobutenedione (IV).

合成路线图解说明:

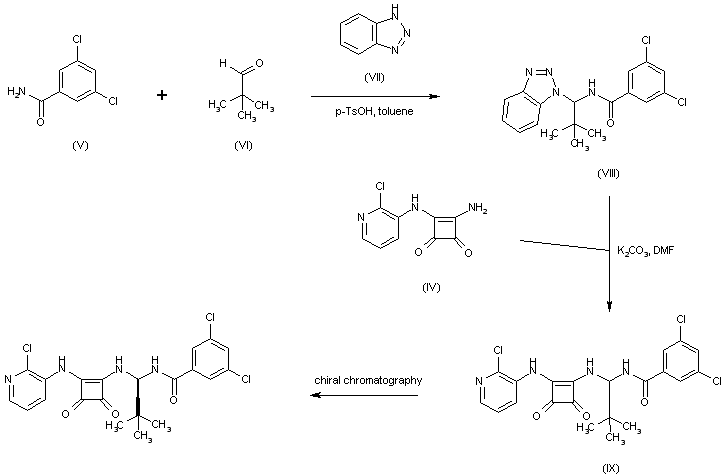
Reaction of 3,5-dichlorobenzamide (V) with pivalaldehyde (VI) in the presence of benzotriazole (VII) gives rise to the benzotriazolyl benzamide (VIII). This is then condensed with the diamino cyclobutene (IV) to afford the racemic adduct (IX), which is finally resolved into the enantiomers employing chiral chromatography.

参考文献No.686247
标题:Aminal-containing ATP-sensitive potassium channel openers for the treatment of bladder overactivity
作者:Kort, M.E.; Gregg, R.J.; Perez-Medrano, A.; et al.
来源:224th ACS Natl Meet (Aug 18 2002, Boston) 2002,Abst MEDI 351
合成路线图解说明:

Reaction of 3,5-dichlorobenzamide (V) with pivalaldehyde (VI) in the presence of benzotriazole (VII) gives rise to the benzotriazolyl benzamide (VIII). This is then condensed with the diamino cyclobutene (IV) to afford the racemic adduct (IX), which is finally resolved into the enantiomers employing chiral chromatography.

Drug Information Express,Drug R&D,Chemical Database,Patent Search.
Copyright © 2006-2026 Drug Future. All rights reserved.Contact Us