【药物名称】LY-674, LY-518674
化学结构式(Chemical Structure):
参考文献No.55520
标题:Perixosome proliferator activated receptor alpha agonists
作者:Mantlo, N.B.; Martinelli, M.J.; Thompson, R.C.; Mayhugh, D.R.; Wang, X.; Vicenzi, J.T.; Dominianni, S.J.; Schmid, C.R.; Collado Cano, I.; Xu, Y.; Letourneau, M.E.; Garcia-Paredes, C.; Etgen, G.J. Jr.; et al. (Eli Lilly and Company)
来源:WO 0238553
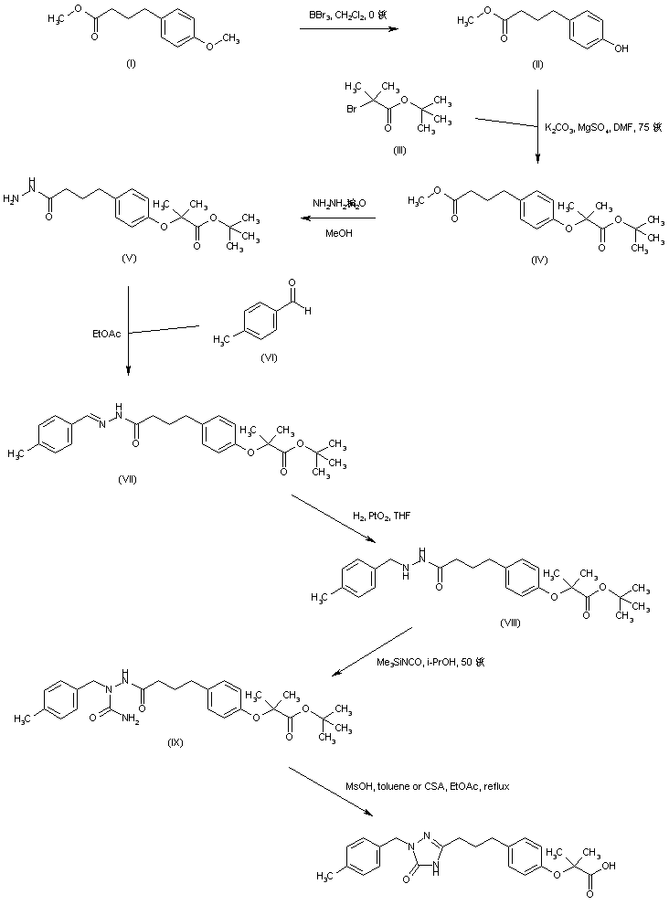
合成路线图解说明:

Demethylation of methyl 4-(4-methoxyphenyl)butyrate (I) using boron tribromide affords phenol (II). Subsequent alkylation of (II) with t-butyl 2-bromoisobutyrate (III) yields ether (IV). The methyl ester group of (IV) is then selectively displaced with hydrazine hydrate to form hydrazide (V). This is condensed with p-methylbenzaldehyde (VI) to give hydrazone (VII), which is further reduced to (VIII) by catalytic hydrogenation over PtO2. Reaction of acyl hydrazide (VIII) with trimethylsilyl isocyanate leads to the acyl semicarbazide (IX). Finally, simultaneous t-butyl ester cleavage and cyclization to the target triazolone is accomplished by treatment of (IX) with several different sulfonic acids.

合成路线图解说明:

In an alternative method, 4-(4-methoxyphenyl)butyric acid (I) is demethylated to phenol (II) by heating at 190 C with pyridine hydrochloride. Alkylation of phenol (II) with ethyl 2-bromoisobutyrate (III) gives ether (IV). The carboxyl group of (IV) is then activated as the corresponding acid chloride (V) by treatment with oxalyl chloride in the presence of DMF.

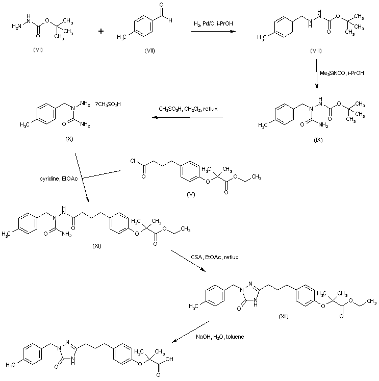
合成路线图解说明:

Reductive alkylation of tert-butyl carbazate (VI) with 4-methylbenzaldehyde (VII) under catalytic hydrogenation conditions affords the N-p-methylbenzyl carbazate (VIII). This is then condensed with trimethylsilyl isocyanate to form the semicarbazide derivative (IX). Subsequent acidic Boc group cleavage in (IX) yields (X). Semicarbazide (X) is then acylated with acid chloride (V) producing (XI). Cyclization of the acyl semicarbazide (XI) in the presence of CSA leads to triazolone (XII). Finally, alkaline hydrolysis of the ethyl ester group of (XII) furnishes the title carboxylic acid.

参考文献No.686353
标题:Novel acid-catalyzed synthesis of triazolones from acyl semicarbazides
作者:Braden, T.; et al.
来源:224th ACS Natl Meet (Aug 18 2002, Boston) 2002,Abst MEDI 381
合成路线图解说明:

Demethylation of methyl 4-(4-methoxyphenyl)butyrate (I) using boron tribromide affords phenol (II). Subsequent alkylation of (II) with t-butyl 2-bromoisobutyrate (III) yields ether (IV). The methyl ester group of (IV) is then selectively displaced with hydrazine hydrate to form hydrazide (V). This is condensed with p-methylbenzaldehyde (VI) to give hydrazone (VII), which is further reduced to (VIII) by catalytic hydrogenation over PtO2. Reaction of acyl hydrazide (VIII) with trimethylsilyl isocyanate leads to the acyl semicarbazide (IX). Finally, simultaneous t-butyl ester cleavage and cyclization to the target triazolone is accomplished by treatment of (IX) with several different sulfonic acids.

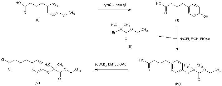
合成路线图解说明:

In an alternative method, 4-(4-methoxyphenyl)butyric acid (I) is demethylated to phenol (II) by heating at 190 C with pyridine hydrochloride. Alkylation of phenol (II) with ethyl 2-bromoisobutyrate (III) gives ether (IV). The carboxyl group of (IV) is then activated as the corresponding acid chloride (V) by treatment with oxalyl chloride in the presence of DMF.

合成路线图解说明:

Reductive alkylation of tert-butyl carbazate (VI) with 4-methylbenzaldehyde (VII) under catalytic hydrogenation conditions affords the N-p-methylbenzyl carbazate (VIII). This is then condensed with trimethylsilyl isocyanate to form the semicarbazide derivative (IX). Subsequent acidic Boc group cleavage in (IX) yields (X). Semicarbazide (X) is then acylated with acid chloride (V) producing (XI). Cyclization of the acyl semicarbazide (XI) in the presence of CSA leads to triazolone (XII). Finally, alkaline hydrolysis of the ethyl ester group of (XII) furnishes the title carboxylic acid.

Drug Information Express,Drug R&D,Chemical Database,Patent Search.
Copyright © 2006-2026 Drug Future. All rights reserved.Contact Us