【药物名称】BIO-9002, BG-9928
化学结构式(Chemical Structure):
参考文献No.49273
标题:Polycycloalkylpurines as adenosine receptor antagonists
作者:Ensinger, C.L.; Kumaravel, G.; Petter, R.C.; Dowling, J.E.; Kiesman, W.F.; Chang, H.X.; Lin, K.C. (Biogen, Inc.)
来源:EP 1230243; JP 2003513982; WO 0134610
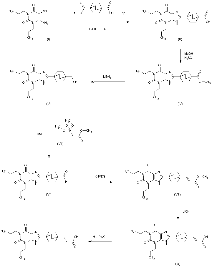
合成路线图解说明:

The cyclization of 5,6-diamino-1,3-dipropylpyrimidine-2,4(1H,3H)-dione (I) with bicyclo[2,2,2]octane-1,4-dicarboxylic acid monoethyl ester (II) by means of HATU and TEA in acetonitrile gives the dipropylxanthine derivative (III), which is esterified with MeOH and sulfuric acid, yielding the methyl ester (IV). The reduction of the ester group of (IV) by means of LiBH4 in refluxing THF affords the hydroxymethyl derivative (V), which is oxidized with DMP in dichloromethane to provide the carbaldehyde (VI). The condensation of aldehyde (VI) with phosphonate (VII) by means of KHMDS in toluene leads to the acrylic acid methyl ester (VIII), which is hydrolyzed with LiOH in methanol/water to give the free acid (IX). Finally the double bond of the acrylic moiety is hydrogenated with H2 over Pd/C in methanol to yield the target xanthine derivative.

Drug Information Express,Drug R&D,Chemical Database,Patent Search.
Copyright © 2006-2026 Drug Future. All rights reserved.Contact Us