【药物名称】
化学结构式(Chemical Structure):
参考文献No.44891
标题:Cpds. useful as reversible inhibitors of cathepsin S
作者:Frye, L.L.; Cywin, C.L.; Morwick, T.; Spero, D.M.; Thomson, D.; Ward, Y. (Boehringer Ingelheim Pharmaceuticals Inc.)
来源:JP 2002538151; US 6395897; WO 0051998
合成路线图解说明:

Cyclohexylalanine benzyl ester (I) is acylated by 4-morpholinecarbonyl chloride (II) to furnish the urea derivative (III). The benzyl ester group of (III) is then removed by transfer hydrogenolysis, yielding N-(4-morpholinecarbonyl)-L-cyclohexylalanine (IV).

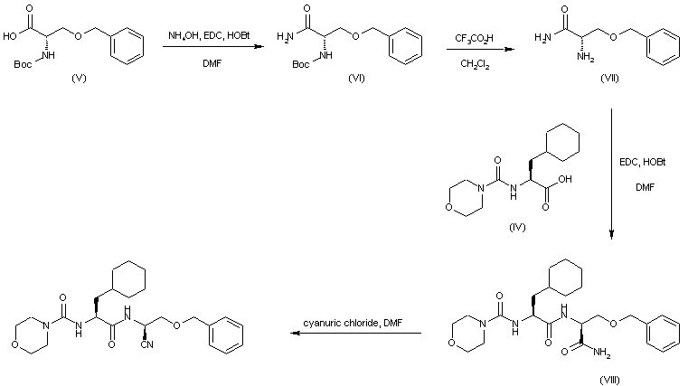
合成路线图解说明:

N-Boc-O-Benzyl-L-serine (V) is treated with ammonium hydroxide and EDC/HOBt to afford the corresponding amide (VI). Subsequent acidic cleavage of the N-Boc group of (VI) provides O-benzyl-L-serinamide (VII). Then, coupling between cyclohexylalanine derivative (IV) and serinamide (VII) in the presence of EDC/HOBt furnishes the dipeptide derivative (VIII). Finally, dehydration of the terminal amide function of (VIII) by means of cyanuric chloride leads to the target nitrile.

Drug Information Express,Drug R&D,Chemical Database,Patent Search.
Copyright © 2006-2026 Drug Future. All rights reserved.Contact Us