【药物名称】
化学结构式(Chemical Structure):
参考文献No.55281
标题:Orally active salts with tyrosine kinase activity
作者:Fraley, M.E.; Kim, Y.; Karki, S.B. (Merck & Co., Inc.)
来源:WO 0232861
合成路线图解说明:

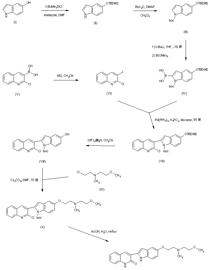
5-Hydroxyindole (I) is sequentially protected at the OH and NH groups to afford the silyl ether (II), and then the N-Boc derivative (III). Metalation of the protected indole (III) by means of tert-butyllithium, followed by reaction with trimethyl borate, provides the boronic acid (IV). Treatment of 2-chloro-3-quinolineboronic acid (V) with N-iodosuccinimide gives rise to 2-chloro-3-iodoquinoline (VI). This is subjected to Suzuki coupling with the indoleboronic acid (IV) to furnish the quinolinyl indole (VII). Desilylation of (VII) using triethylamine trihydrofluoride gives the hydroxy indole (VIII), which is alkylated with the chloro amine (IX) to produce the indolyl ether (X). Finally, hydrolysis of the 2-chloroquinoline moiety of (X) and simultaneous N-Boc group cleavage with 50% HOAc leads to the title compound.

Drug Information Express,Drug R&D,Chemical Database,Patent Search.
Copyright © 2006-2026 Drug Future. All rights reserved.Contact Us