【药物名称】SCH-400
化学结构式(Chemical Structure):
参考文献No.44011
标题:Farnesyl protein transferase inhibitors
作者:Cooper, A.B.; Girijavallabhan, V.M.; Mallams, A.K.; Doll, R.J.; Kelly, J.M.; Rane, D.F.; Taveras, A.G.; Guzi, T.; Strickland, C.; Chao, J. (Schering Corp.)
来源:EP 1140904; JP 2002533335; WO 0037458
合成路线图解说明:

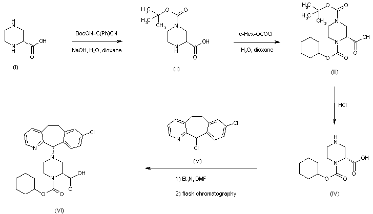
(R)-Piperazinecarboxylic acid (I) is sequentially protected with 2-(t-butoxycarbonyloxy)imino-2-phenylacetonitrile to produce the 4N-Boc-piperazine (II), and then with cyclohexyl chloroformate, yielding the 1N-cyclohexyl carbamate (III). Selective N-Boc group cleavage in (III) under acidic conditions provides piperazine (IV). This is condensed with the tricyclic chloride (V) to furnish, after chromatographic separation of the isomers, the required intermediate (VI).

合成路线图解说明:

Reduction of (R)-ethyl nipecotate (VII) with LiAlH4 yields 3-piperidinemethanol (VIII), which is further protected as the N-Boc derivative (IX) by using Boc2O. Treatment of the piperidine alcohol (IX) with p-toluenesulfonyl chloride and pyridine leads to tosylate (X). Condensation of the sodium derivative of 4-methylimidazole (XI) with tosylate (X) gives rise to a mixture of regioisomeric N-alkylated imidazoles, which are chromatographically separated after derivatization with trityl chloride. The desired isomer (XII) is then deprotected under acidic conditions, giving piperidine (XIII). Finally, EDC-mediated coupling between piperidine (XIII) and the piperazinecarboxylic acid (VI) furnishes the title amide.

参考文献No.54586
标题:Farnesyl protein transferase inhibitors
作者:Cooper, A.B.; Girijavallabhan, V.M.; Mallams, A.K.; Doll, R.J.; Kelly, J.M.; Rane, D.F.; Taveras, A.G.; Guzi, T.; Strickland, C.; Chao, J. (Schering Corp.)
来源:US 6362188
合成路线图解说明:

(R)-Piperazinecarboxylic acid (I) is sequentially protected with 2-(t-butoxycarbonyloxy)imino-2-phenylacetonitrile to produce the 4N-Boc-piperazine (II), and then with cyclohexyl chloroformate, yielding the 1N-cyclohexyl carbamate (III). Selective N-Boc group cleavage in (III) under acidic conditions provides piperazine (IV). This is condensed with the tricyclic chloride (V) to furnish, after chromatographic separation of the isomers, the required intermediate (VI).

合成路线图解说明:

Reduction of (R)-ethyl nipecotate (VII) with LiAlH4 yields 3-piperidinemethanol (VIII), which is further protected as the N-Boc derivative (IX) by using Boc2O. Treatment of the piperidine alcohol (IX) with p-toluenesulfonyl chloride and pyridine leads to tosylate (X). Condensation of the sodium derivative of 4-methylimidazole (XI) with tosylate (X) gives rise to a mixture of regioisomeric N-alkylated imidazoles, which are chromatographically separated after derivatization with trityl chloride. The desired isomer (XII) is then deprotected under acidic conditions, giving piperidine (XIII). Finally, EDC-mediated coupling between piperidine (XIII) and the piperazinecarboxylic acid (VI) furnishes the title amide.

Drug Information Express,Drug R&D,Chemical Database,Patent Search.
Copyright © 2006-2026 Drug Future. All rights reserved.Contact Us