【药物名称】
化学结构式(Chemical Structure):
参考文献No.42867
标题:Substd. 3-cyanoquinolines as protein tyrosine kinase inhibitors
作者:Frost, P.; Floyd, M.B. Jr.; Wissner, A.; Hamann, P.R.; Zhang, N.; Tsou, H.-R.; Berger, D.M.; Salvati, M.E. (Wyeth)
来源:EP 1117659; JP 2002525369; WO 0018761
合成路线图解说明:

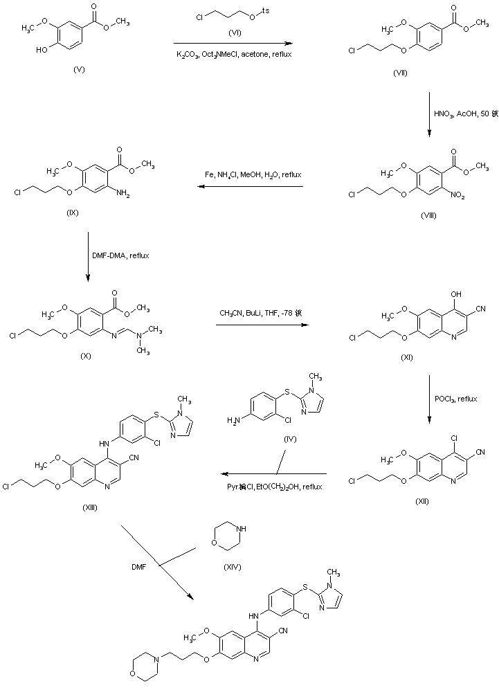
Alkylation of vanillic acid methyl ester (V) with 3-chloropropyl tosylate (VI) in the presence of K2CO3 and Aliquat 336 gives the chloropropyl ether (VII). Subsequent electrophilic nitration of (VII) in hot HOAc affords the ortho-nitrobenzoate (VIII), which is further reduced to the amino benzoate analogue (IX) employing Fe/NH4Cl. Condensation of amino ester (IX) with dimethylformamide dimethylacetal provides adduct (X). This is then converted to the key quinoline derivative (XI) upon condensation with acetonitrile in the presence of butyllithium. Chlorination of (XI) with boiling POCl3 leads to the 4-chloroquinoline (XII). This is then coupled with the (imidazolylsulfanyl)aniline (IV) using pyridinium chloride in refluxing ethoxyethanol to furnish the anilino quinoline adduct (XIII). Finally, displacement of the chloride group of (XIII) with morpholine (XIV) in DMF provides the title compound.

参考文献No.50855
标题:Substd. 3-cyanoquinolines
作者:Frost, P.; Floyd, M.B. Jr.; Wissner, A.; Hamann, P.R.; Zhang, N.; Tsou, H.-R.; Berger, D.M.; Salvati, M.E. (Wyeth)
来源:US 6288082
合成路线图解说明:

Alkylation of vanillic acid methyl ester (V) with 3-chloropropyl tosylate (VI) in the presence of K2CO3 and Aliquat 336 gives the chloropropyl ether (VII). Subsequent electrophilic nitration of (VII) in hot HOAc affords the ortho-nitrobenzoate (VIII), which is further reduced to the amino benzoate analogue (IX) employing Fe/NH4Cl. Condensation of amino ester (IX) with dimethylformamide dimethylacetal provides adduct (X). This is then converted to the key quinoline derivative (XI) upon condensation with acetonitrile in the presence of butyllithium. Chlorination of (XI) with boiling POCl3 leads to the 4-chloroquinoline (XII). This is then coupled with the (imidazolylsulfanyl)aniline (IV) using pyridinium chloride in refluxing ethoxyethanol to furnish the anilino quinoline adduct (XIII). Finally, displacement of the chloride group of (XIII) with morpholine (XIV) in DMF provides the title compound.

参考文献No.686192
标题:Synthesis and evaluation of 4-anilino substituted 3-quinolinecarbonitriles as inhibitors of kinases of the Ras-MAPK signaling cascade
作者:Dutia, M.; Powell, D.W.; Berger, D.M.; et al.
来源:224th ACS Natl Meet (Aug 18 2002, Boston) 2002,Abst MEDI 105
合成路线图解说明:

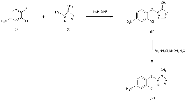
Condensation of 3-chloro-4-fluoronitrobenzene (I) with the sodium derivative of 2-mercapto-1-methylimidazole (II) affords the diaryl sulfide (III). Subsequent nitro group reduction in (III) using iron dust and ammonium chloride provides the intermediate aniline (IV).

合成路线图解说明:

Alkylation of vanillic acid methyl ester (V) with 3-chloropropyl tosylate (VI) in the presence of K2CO3 and Aliquat 336 gives the chloropropyl ether (VII). Subsequent electrophilic nitration of (VII) in hot HOAc affords the ortho-nitrobenzoate (VIII), which is further reduced to the amino benzoate analogue (IX) employing Fe/NH4Cl. Condensation of amino ester (IX) with dimethylformamide dimethylacetal provides adduct (X). This is then converted to the key quinoline derivative (XI) upon condensation with acetonitrile in the presence of butyllithium. Chlorination of (XI) with boiling POCl3 leads to the 4-chloroquinoline (XII). This is then coupled with the (imidazolylsulfanyl)aniline (IV) using pyridinium chloride in refluxing ethoxyethanol to furnish the anilino quinoline adduct (XIII). Finally, displacement of the chloride group of (XIII) with morpholine (XIV) in DMF provides the title compound.

Drug Information Express,Drug R&D,Chemical Database,Patent Search.
Copyright © 2006-2026 Drug Future. All rights reserved.Contact Us