【药物名称】UK-371800
化学结构式(Chemical Structure):
参考文献No.40992
标题:Pyrazolopyrimidinone cGMP PDE5 inhibitors for the treatment of sexual dysfunction
作者:Street, S.D.A.; Wood, A.; Bunnage, M.E.; Mathias, J.P. (Pfizer Inc.; Pfizer Ltd.)
来源:WO 9954333
合成路线图解说明:

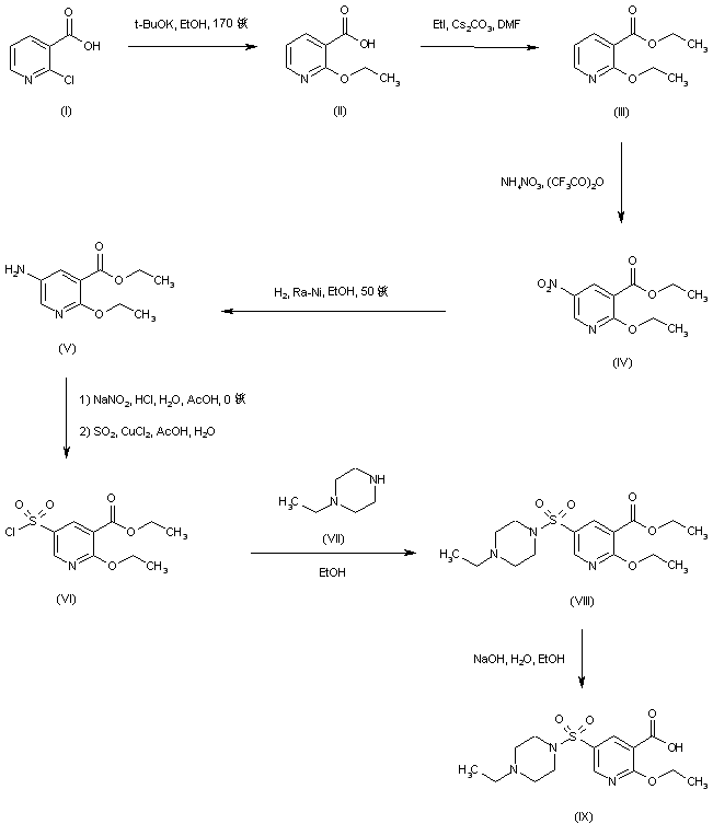
Reaction of 2-chloronicotinic acid (I) with an ethanolic solution of potassium tert-butoxide affords 2-ethoxynicotinic acid (II), which is further converted to the corresponding ethyl ester (III) by alkylation with iodoethane in the presence of Cs2CO3. Nitration of (III) employing ammonium nitrate and trifluoroacetic anhydride leads to ethyl 2-ethoxy-5-nitropyridine-3-carboxylate (IV). This is then reduced to the aminopyridine (V) by catalytic hydrogenation over Raney Ni. Diazotization of amine (V), followed by treatment with SO2 and CuCl2 gives rise to the sulfonyl chloride (VI). Acid chloride (VI) is subsequently coupled to N-ethylpiperazine (VII), producing sulfonamide (VIII). Alkaline hydrolysis of ethyl ester (VIII) yields the intermediate pyridinecarboxylic acid (IX)

合成路线图解说明:

Claisen condensation between diethyl oxalate (X) and 2-butanone (XI) leads to the diketo ester (XII), which is subsequently cyclized with hydrazine hydrate to furnish the pyrazolecarboxylate (XIII). After alkaline hydrolysis of ester (XIII), the resultant pyrazolecarboxylic acid (XIV) is nitrated by fuming HNO3 in hot H2SO4 to provide (XV). Chlorination of acid (XV) with SOCl2, followed by treatment with ammonia in THF yields the pyrazolecarboxamide (XVI). The alkylation of pyrazole (XVI) with iodomethane and Cs2CO3 leads to a mixture of N-methylated regioisomers (XVII) and (XVIII), which are separated by crystallization, followed by column chromatography. The desired isomer (XVII) is further reduced by catalytic hydrogenation to the aminopyrazole (XIX)

合成路线图解说明:

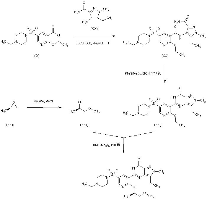
Coupling between pyridinecarboxylic acid (IX) and aminopyrazole (XIX) by means of EDC/HOBt leads to the diamide adduct (XX). Subsequent intramolecular cyclization of (XX) in an ethanolic solution of potassium bis(trimethylsilyl)amide at 120 C in a sealed vessel furnishes the pyrazolopyrimidinone derivative (XXI). Reaction of (R)-propylene oxide (XXII) with sodium methoxide yields (R)-1-methoxy-2-propanol (XXIII). Finally, displacement of the ethoxy group of (XXI) with the potassium alkoxide of (XXIII) gives rise to the title compound

Drug Information Express,Drug R&D,Chemical Database,Patent Search.
Copyright © 2006-2026 Drug Future. All rights reserved.Contact Us