【药物名称】GPI-1511
化学结构式(Chemical Structure):
参考文献No.683243
标题:Synthesis of N-glyoxyl prolyl and pipecolyl amides and thioesters and evaluation of their in vitro and in vivo nerve regenerative effects
作者:Hamilton, G.S.; Wu, Y.-Q.; Limburg, D.C.; Wilkinson, D.E.; Vaal ,M.J.; Li, J.-H.; Thomas, C.; Huang, W.; Sauer, H.; Ross, D.T.; Soni, R.; Chen, Y.; Guo, H.; Howorth, P.; Valentine, H.; Liang, S.; Spicer, D.; Fuller, M.; Steiner, J.P
来源:J Med Chem 2002,45(16),3549
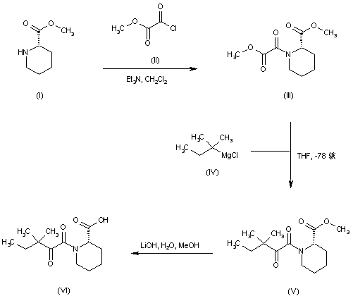
合成路线图解说明:

Acylation of methyl pipecolinate (I) with methyl oxalyl chloride (II) provides oxamate (III). Subsequent addition of 1,1-dimethylpropylmagnesium chloride (IV) to oxamate (III) gives rise to keto amide (V). The methyl ester group of (V) is then hydrolyzed by means of LiOH, yielding the intermediate carboxylic acid (VI)

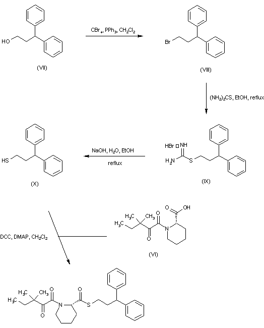
合成路线图解说明:

3,3-Diphenyl-1-propanol (VII) is converted into the corresponding alkyl bromide (VIII) by treatment with CBr4 and PPh3. Reaction of bromide (VIII) with thiourea provides the isothiouronium salt (IX), which is further hydrolyzed to thiol (X) under alkaline conditions. Finally, acylation of thiol (X) with carboxylic acid (VI) by means of DCC yields the target thioester

Drug Information Express,Drug R&D,Chemical Database,Patent Search.
Copyright © 2006-2026 Drug Future. All rights reserved.Contact Us