【药物名称】FR-236924
化学结构式(Chemical Structure):
参考文献No.56089
标题:Carboxylic acid cpd. having cyclopropane ring
作者:Tanaka, A.; Nishizaki, T. (Fujisawa Pharmaceutical Co., Ltd.)
来源:EP 1343746; WO 0250013
合成路线图解说明:

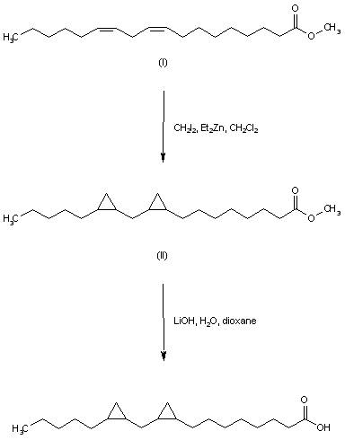
Cyclopropanation of linoleic acid methyl ester (I) employing diiodomethane and diethylzinc gives rise to cis-cyclopropane derivative (II) as a mixture of diastereoisomers. Subsequent hydrolysis of ester (II) with LiOH in aqueous dioxane provides the desired carboxylic acid. (1,2)

参考文献No.718492
标题:The newly synthesized linoleic acid derivative FR236924 induces a long-lasting facilitation of hippocampal neurotransmission by targeting nicotinic acetylcholine receptors
作者:Tanaka, A.; Nishizaki, T.
来源:Bioorg Med Chem Lett 2003,13(6),1037
合成路线图解说明:

Cyclopropanation of linoleic acid methyl ester (I) employing diiodomethane and diethylzinc gives rise to cis-cyclopropane derivative (II) as a mixture of diastereoisomers. Subsequent hydrolysis of ester (II) with LiOH in aqueous dioxane provides the desired carboxylic acid. (1,2)

Drug Information Express,Drug R&D,Chemical Database,Patent Search.
Copyright © 2006-2026 Drug Future. All rights reserved.Contact Us