【药物名称】INT-747, 6-ECDCA
化学结构式(Chemical Structure):
参考文献No.685858
标题:6alpha-Ethyl-chenodeoxycholic acid (6-ECDCA), a potent and selective FXR agonist endowed with anticholestatic activity
作者:Pellicciari, R.; Fiorucci, S.; Camaioni, E.; Clerici, C.; Costantino, G.; Maloney, P.R.; Morelli, A.; Parks, D.J.; Willson, T.M.
来源:J Med Chem 2002,45(17),3569
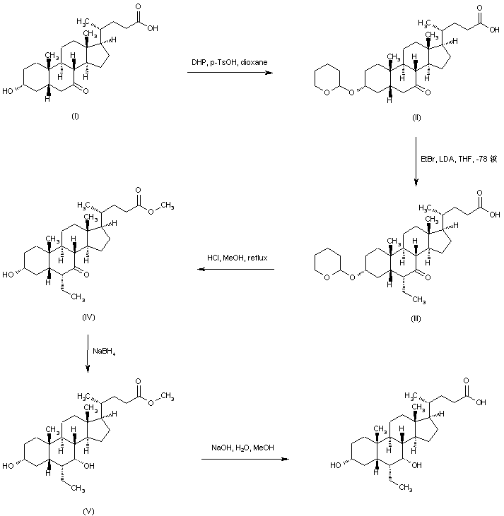
合成路线图解说明:

7-Oxo-lithocholic acid (I) is protected as the tetrahydropyranyl ether (II) using dihydropyran in the presence of p-toluenesulfonic acid. Diastereoselective alkylation at the alpha-position of the keto group of (II) with ethyl bromide and LDA provides (III). Then, simultaneous esterification and tetrahydropyranyl group removal in (III) with methanolic HCl leads to methyl ester (IV). Subsequent ketone (IV) reduction with NaBH4 furnishes the 7-alpha alcohol (V). Finally, basic hydrolysis of the methyl ester group of (V) provides the corresponding carboxylic acid.

Drug Information Express,Drug R&D,Chemical Database,Patent Search.
Copyright © 2006-2026 Drug Future. All rights reserved.Contact Us