【药物名称】
化学结构式(Chemical Structure):
参考文献No.685820
标题:Design, synthesis, and structure-activity relationship of 6-alkynylpyrimidines as potent adenosine kinase inhibitors
作者:Gomtsyan, A.; DiDomenico, S.; Lee, C.H.; Matulenko, M.A.; Kim, K.; Kowaluk, E.A.; Wismer, C.T.; Mikusa, J.; Yu, H.; Kohlhaas, K.; Jarvis, M.F.; Bhagwat, S.S.
来源:J Med Chem 2002,45(17),3639
合成路线图解说明:

Reaction of 2,5-dibromopyridine (I) with morpholine (II) yields 5-bromo-2-(4-morpholinyl)pyridine (III). Palladium-catalyzed coupling of (III) with trimethylsilyl acetylene (IV) leads to the ethynylpyridine (V)

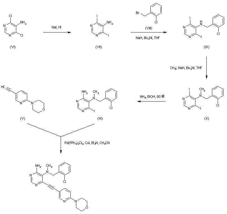
合成路线图解说明:

Iodination of 5-amino-4,6-dichloropyrimidine (VI) by means of NaI in concentrated HI affords the diiodopyridine (VII). Sequential alkylation of aminopyrimidine (VII) with 2-chlorobenzyl bromide (VIII) to produce (IX), and further N-methylation with iodomethane and NaH, lead to the tertiary amine (X). Ammonolysis of the diiodopyrimidine (X) with ethanolic ammonia in a sealed tube at 80 C yields amine (XI). Finally, Sonogashira coupling between acetylene (V) and iodopyrimidine (XI) in the presence of Pd(PPh3)2Cl2 and CuI furnishes the target diaryl acetylene

Drug Information Express,Drug R&D,Chemical Database,Patent Search.
Copyright © 2006-2026 Drug Future. All rights reserved.Contact Us