【药物名称】
化学结构式(Chemical Structure):
参考文献No.683247
标题:Synthesis and in vitro studies of novel pyrimidinyl peptidomimetics as potential antimalarial therapeutic agents
作者:Zhu, S.; Hudson, T.H..; Kyle, D.E.; Lin, A.J.
来源:J Med Chem 2002,45(16),3491
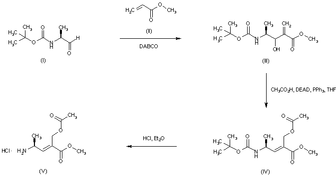
合成路线图解说明:

The Baylis-Hillman reaction between N-Boc-alaninal (I) and methyl acrylate (II) in the presence of DABCO yields the allylic alcohol adduct (III). Subsequent Mitsunobu coupling with acetic acid leads to the rearranged allylic acetate (IV). Acidic Boc group cleavage in (IV) then gives the amino ester intermediate (V).

合成路线图解说明:

The pyrimidinone acetaldehyde (VI) is oxidized to the corresponding acid (VII) by means of sodium chlorite. Then, coupling of acid (VII) with amino ester (V) using DCC and HOBt provides the target amide.

Drug Information Express,Drug R&D,Chemical Database,Patent Search.
Copyright © 2006-2026 Drug Future. All rights reserved.Contact Us