【药物名称】Naphthal-NU
化学结构式(Chemical Structure):
参考文献No.673128
标题:Evaluation of naphthal-NU, a 2-chloroethylnitrosourea derivative of naphthalimide, as a mixed-function anticancer agent
作者:Samanta, S.; et al.
来源:J Exp Clin Cancer Res 2002,21(1),87
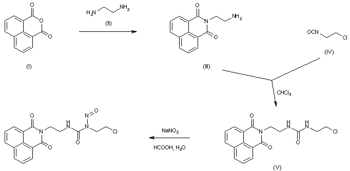
合成路线图解说明:

Condensation of 1,8-naphthalic anhydride (I) with ethylenediamine (II) provides the N-aminoethyl naphthalimide (III). Amine (III) is subsequently condensed with 2-chloroethyl isocyanate (IV) to afford urea (V). Finally, nitrosation of (V) by means of NaNO2 and formic acid leads to the title N-nitrosourea.

Drug Information Express,Drug R&D,Chemical Database,Patent Search.
Copyright © 2006-2026 Drug Future. All rights reserved.Contact Us