【药物名称】
化学结构式(Chemical Structure):
参考文献No.52353
标题:Cyclohexane derivs. and their use as therapeutic agents
作者:Elliott, J.M.; Castro Pineiro, J.L.; Swain, C.J.; Hollingworth, G.J.; Dinnell, K.; Shaw, D.E. (Merck Sharp & Dohme Ltd.)
来源:WO 0187838
合成路线图解说明:

Esterification of 3,5-bis(trifluoromethyl)phenylacetic acid (I) by means of methanolic H2SO4 gives methyl ester (II). Aldol condensation of ester (II) with paraformaldehyde in the presence of K2CO3 and tetrabutylammonium iodide leads to the aryl acrylic acid derivative (III), which is further hydrogenated to the arylpropionic analogue (IV) by using Pd/C. Saponification of the methyl ester group of (IV) affords acid (V). This is then activated as the corresponding acid chloride (VI) upon treatment with oxalyl chloride in the presence of a catalytic amount of DMF.

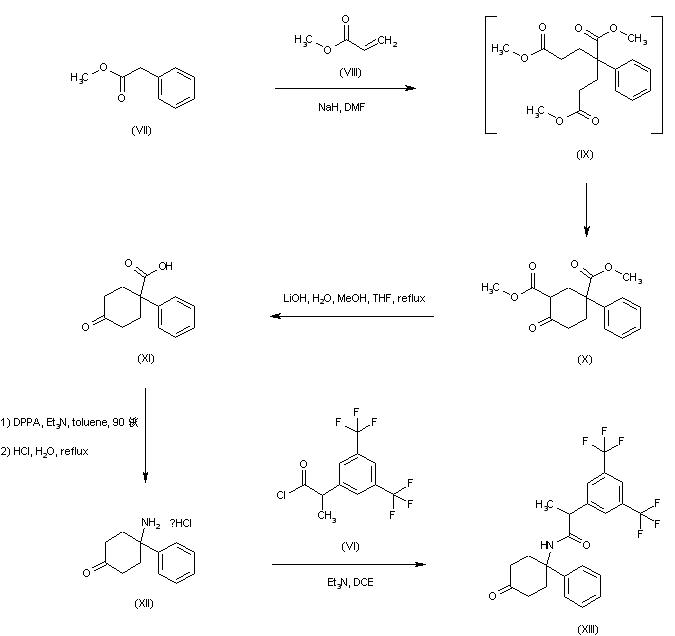
合成路线图解说明:

Michael addition of methyl acrylate (VIII) to methyl phenylacetate (VII) in the presence of NaH produces the intermediate triester (IX) which, under the reaction conditions, undergoes Dieckmann cyclization to the cyclohexanone diester (X). Hydrolysis and decarboxylation of keto diester (X) leads to keto acid (XI). This is then subjected to Curtius rearrangement in the presence of diphenylphosphoryl azide (DPPA) to yield, after acidic hydrolysis of the intermediate isocyanate, the amino cyclohexanone (XII). Acylation of amine (XII) by acid chloride (VI) then gives amide (XIII).

参考文献No.685314
标题:4,4-Disubstituted cyclohexylamine NK1 receptor antagonists II
作者:Cooper, L.C.; Carlson, E.J.; Castro, J.L.; Chicchi, G.G.; Dinnell, K.; Di Salvo, J.; Elliott, J.M.; Hollingworth, G.J.; Kurtz, M.M.; Ridgill, M.P.; Rycroft, W.; Tsao, K.L.; Swain, C.J.
来源:Bioorg Med Chem Lett 2002,12(13),1759
合成路线图解说明:

Alkylation of the enolate derived from N-Boc ethyl isonipecotate (XIV) with allyl bromide (XV) gives the alpha-allyl ester (XVI). Double bond ozonolysis in (XIV) with reductive work-up in the presence of NaBH4 leads to lactone (XVII). Reductive ring-opening of lactone (XVII) by means of DIBAL affords diol (XVIII). This is then cyclized under Mitsunobu conditions to the spirocyclic amine (XIX). Acidic Boc group cleavage in (XIX) provides 2-oxa-8-azaspiro[4.5]decane (XX). Finally, reductive amination of cyclohexanone (XIII) with the bicyclic amine (XX) gives rise to a cis/trans mixture of diamino cyclohexanes, from which the desired trans isomer is isolated by chromatography.

Drug Information Express,Drug R&D,Chemical Database,Patent Search.
Copyright © 2006-2026 Drug Future. All rights reserved.Contact Us