【药物名称】
化学结构式(Chemical Structure):
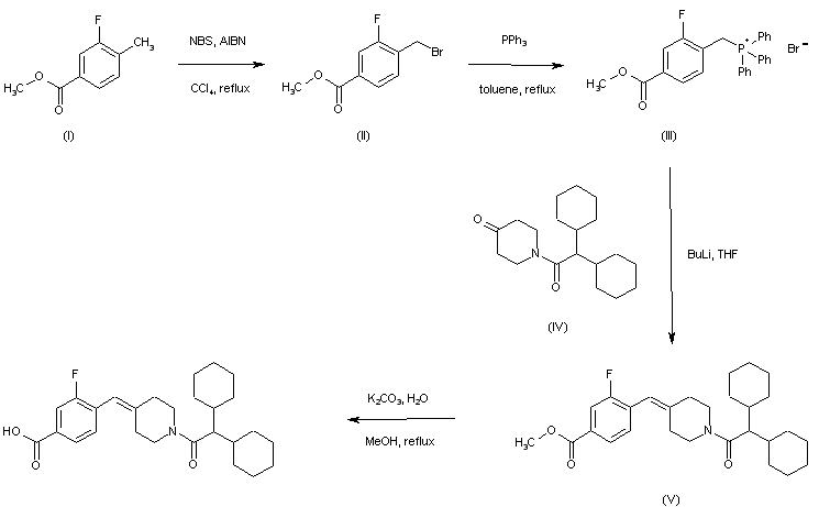
参考文献No.683255
标题:Synthesis and evaluation of 2'-substituted 4-(4'-carboxy- or 4'-carboxymethylbenzylidene)-N-acylpiperidines: Highly potent and in vivo active steroid 5alpha-reductase type 2 inhibitors
作者:Picard, F.; Barassin, S.; Mokhtarian, A.; Hartmann, R.W.
来源:J Med Chem 2002,45(16),3046
合成路线图解说明:

Radical bromination of methyl 3-fluoro-4-methylbenzoate (I) by using N-bromosuccinimide in the presence of AIBN affords the benzylic bromide (II). Subsequent reaction of bromide (II) with triphenylphosphine provides the phosphonium salt (III). Wittig olefination of N-(dicyclohexylacetyl)-4-piperidone (IV) with phosphonium salt (III) leads to the benzylidenepiperidine (V). Finally, basic hydrolysis of methyl ester (V) provides the target carboxylic acid

参考文献No.688341
标题:Synthesis and evaluation of N-acyl-4-benzylidenepiperidines: Highly potent and in vivo active steroid-5alpha-reductase type 2 inhibitors
作者:Picard, F.; et al.
来源:Drugs Fut 2002,27(Suppl. A),
合成路线图解说明:

Radical bromination of methyl 3-fluoro-4-methylbenzoate (I) by using N-bromosuccinimide in the presence of AIBN affords the benzylic bromide (II). Subsequent reaction of bromide (II) with triphenylphosphine provides the phosphonium salt (III). Wittig olefination of N-(dicyclohexylacetyl)-4-piperidone (IV) with phosphonium salt (III) leads to the benzylidenepiperidine (V). Finally, basic hydrolysis of methyl ester (V) provides the target carboxylic acid

Drug Information Express,Drug R&D,Chemical Database,Patent Search.
Copyright © 2006-2026 Drug Future. All rights reserved.Contact Us