【药物名称】SNJ-1558
化学结构式(Chemical Structure):
参考文献No.683960
标题:Exploration of peptidyl hydrazones as water-soluble calpain inhibitors
作者:Nakamura, M.; Inoue, J.
来源:Bioorg Med Chem Lett 2002,12(12),1603
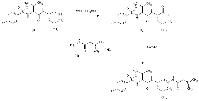
合成路线图解说明:

Swern oxidation of the sulfonyl dipeptide alcohol (I) in the presence of sulfur trioxide-pyridine complex and DMSO affords aldehyde (II). This is then condensed with (dimethylamino)acetohydrazide (III) to produce the target N-acyl hydrazone

Drug Information Express,Drug R&D,Chemical Database,Patent Search.
Copyright © 2006-2026 Drug Future. All rights reserved.Contact Us