【药物名称】
化学结构式(Chemical Structure):
参考文献No.35929
标题:Benzopiperidine derivs.
作者:Kaneko, T.; Clark, R.; Ohi, N.; Ozaki, F.; Kawahara, T.; Kamada, A.; Okano, K.; Yokohama, H.; Muramoto, K.; Arai, T.; Ohkuro, M.; Takenaka, O.; Sonoda, J. (Eisai Co., Ltd.)
来源:EP 0934941; WO 9806720
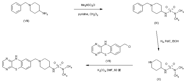
合成路线图解说明:

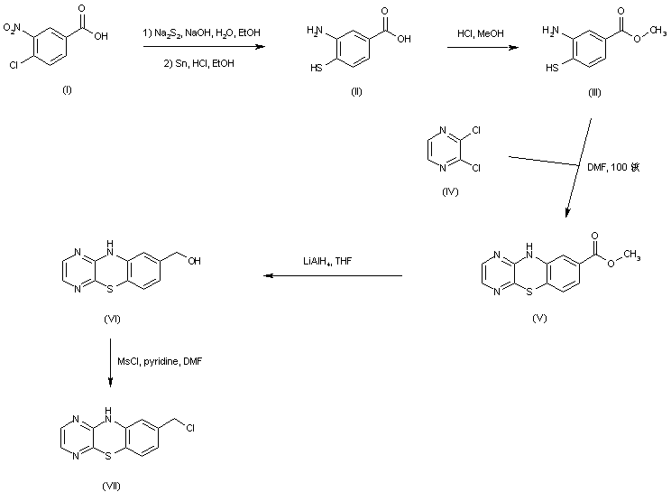
Displacement of the chloride group of 4-chloro-3-nitrobenzoic acid (I) with sodium disulfide, followed by reduction of the disulfide and nitro groups with Sn/HCl yields 3-amino-4-mercaptobenzoic acid (II), which is further esterified to (III) with methanolic HCl. Condensation of (III) with 2,3-dichloropyrazine (IV) produces the pyrazinobenzothiazine compound (V). The ester group of (V) is then reduced to alcohol (VI) employing LiAlH4. Subsequent treatment of alcohol (VI) with methanesulfonyl chloride and pyridine leads to the benzyl chloride (VII).

合成路线图解说明:

4-Amino-1-benzylpiperidine (VIII) is condensed with dimethylsulfamoyl chloride to give the sulfamide (IX). Subsequent benzyl group hydrogenolysis in (IX) over Pd/C provides the piperidine (X). Finally, alkylation of piperidine (X) with chloride (VII) yields the title compound.

参考文献No.683972
标题:Inhibitors of adhesion molecules expression: The synthesis and pharmacological properties of 10H-pyrazino[2,3-b][1,4]benzothiazine derivatives
作者:Kaneko, T.; Clark, R.S.J.; Ohi, N.; Kawahara, T.; Akamatsu, H.; Ozaki, F.; Kamada, A.; Okano, K.; Yokohama, H.; Muramoto, K.; Ohkuro, M.; Takenaka, O.; Kobayashi, S.
来源:Chem Pharm Bull 2002,50(7),922
合成路线图解说明:

Displacement of the chloride group of 4-chloro-3-nitrobenzoic acid (I) with sodium disulfide, followed by reduction of the disulfide and nitro groups with Sn/HCl yields 3-amino-4-mercaptobenzoic acid (II), which is further esterified to (III) with methanolic HCl. Condensation of (III) with 2,3-dichloropyrazine (IV) produces the pyrazinobenzothiazine compound (V). The ester group of (V) is then reduced to alcohol (VI) employing LiAlH4. Subsequent treatment of alcohol (VI) with methanesulfonyl chloride and pyridine leads to the benzyl chloride (VII).

合成路线图解说明:

4-Amino-1-benzylpiperidine (VIII) is condensed with dimethylsulfamoyl chloride to give the sulfamide (IX). Subsequent benzyl group hydrogenolysis in (IX) over Pd/C provides the piperidine (X). Finally, alkylation of piperidine (X) with chloride (VII) yields the title compound.

Drug Information Express,Drug R&D,Chemical Database,Patent Search.
Copyright © 2006-2026 Drug Future. All rights reserved.Contact Us