【药物名称】BAY-38-7271
化学结构式(Chemical Structure):
参考文献No.37197
标题:Aryl sulfonamides and analogues thereof and their use in the treatment of neurodegenerative diseases
作者:Raddatz, S.; De Vry, J.-M.-V.; Mohrs, K.-H.; Dressel, J.; Matzke, M.; Mittendorf, J.; Mauler, F.; Schuhmacher, J.; Friedl, A.; Horvath, E.; Jork, R.; Keldenich, J.; Franz, J.; Spreyer, P.; V鰄ringer, V.; Rock, M.-H. (Bayer AG)
来源:DE 19740785; EP 0966436; JP 2001515470; US 2002072529; US 6262112; US 6573278; WO 9837061
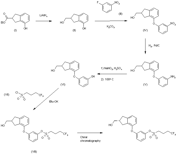
合成路线图解说明:

The reduction of 4-hydroxyindane-2-carboxylic acid ethyl ester (I) by means of LiAlH4 in THF gives the hydroxymethyl derivative (II), which is condensed with 3-fluoronitrobenzene (III) by means of K2CO3 in DMF to yield the diaryl ether (IV). The reduction of the nitro group of (IV) by means of H2 over Pd/C in THF/methanol affords the aniline derivative (V), which is treated with NaNO2 and H2SO4 and heated at 100 C to provide the phenol (VI). The condensation of (VI) with 4,4,4-trifluorobutylsulfonyl chloride (VII) by means of t-BuOK in THF leads to the racemic sulfonate (VIII), which is finally submitted to optical resolution by preparative chiral HPLC over Chiracel OD to furnish the target (R)-enantiomer.

参考文献No.60850
标题:Novel aryl sulphonamide amino acid esters and analogues
作者:Dressel, J.; Matzke, M.; Mittendorf, J.; De Vry, J.-M.V.; Mauler, F.; Friedl, A.; Horvath, E.; Keldenich, J.; Franz, J.; Spreyer, P.; V鰄ringer, V.; Rock, M.-H.; Schumacher, J. (Bayer AG)
来源:CA 2341028; DE 19837627; EP 1105371; US 6545050; WO 0010968
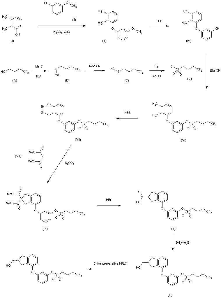
合成路线图解说明:

The condensation of 2,3-dimethylphenol (I) with 3-bromoanisole (II) by means of K2CO3 and CuO in pyridine gives the diaryl ether (III), which is demethylated by means of HBr in refluxing acetic acid to yield the phenol (IV). The condensation of (IV) with 4,4,4-trifluorobutylsulfonyl chloride (V) by means of t-BuOK in THF affords the sulfonate (VI), which is brominated by means of NBS in refluxing CCl4 to provide the bis(bromomethyl)compound (VII). The cyclization of (VII) with dimethyl malonate (VIII) by means of K2CO3 in refluxing butanone furnishes the indane-dicarboxylate (IX), which is hydrolyzed and monodecarboxylated by means of HBr in refluxing acetic acid/water to give the indane-carboxylic acid (X). The reduction of the CO2H group of (X) by means of BH3/Me2S in THF yields the racemic hydroxymethyl derivative (XI), which is finally submitted to optical resolution by means of chiral preparative HPLC over Chiracel OD to provide the target (R)-enantiomer.

Drug Information Express,Drug R&D,Chemical Database,Patent Search.
Copyright © 2006-2026 Drug Future. All rights reserved.Contact Us