【药物名称】RO-1169132/238
化学结构式(Chemical Structure):
参考文献No.43635
标题:Piperidine CCR-3 receptor antagonists
作者:Kertesz, D.J.; Smith, D.B.; Hirschfeld, D.R. (F. Hoffmann-La Roche AG)
来源:DE 19955793; EP 1131290; GB 2343894; JP 2002530375; US 6342509; WO 0031033
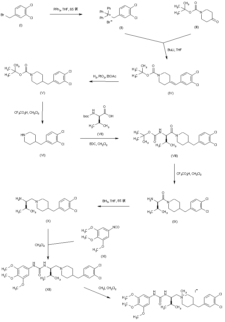
合成路线图解说明:

Condensation of 3,4-dichlorobenzyl bromide (I) with triphenylphosphine affords the phosphonium salt (II). The ylide obtained from (II) and butyllithium is then subjected to a Wittig reaction with N-Boc-4-piperidinone (III) to provide the benzylidene piperidine (IV). Catalytic hydrogenation of (IV) over PtO2 gives rise to the corresponding benzylpiperidine (V). After acidic Boc group cleavage in (V), the deprotected piperidine (VI) is coupled with N-Boc-D-valine (VII) in the presence of EDC to furnish amide (VIII). Further N-Boc group cleavage in (VIII) employing trifluoroacetic acid yields amino amide (IX), which is then reduced to diamine (X) by means of borane in THF. Coupling of amine (X) with 3,4,5-trimethoxyphenyl isocyanate (XI) leads to urea (XII). Finally, quaternization of the piperidine N of (XII) with iodomethane provides the title piperidinium salt.

参考文献No.56053
标题:Cyclic amine derivs.-CCR-3 receptor antagonists
作者:Wilhelm, R.S.; Smith, D.B.; Talamas, F.X.; Gong, L.; tesz, D.J. (Syntex (USA) LLC)
来源:US 6339087
合成路线图解说明:

Condensation of 3,4-dichlorobenzyl bromide (I) with triphenylphosphine affords the phosphonium salt (II). The ylide obtained from (II) and butyllithium is then subjected to a Wittig reaction with N-Boc-4-piperidinone (III) to provide the benzylidene piperidine (IV). Catalytic hydrogenation of (IV) over PtO2 gives rise to the corresponding benzylpiperidine (V). After acidic Boc group cleavage in (V), the deprotected piperidine (VI) is coupled with N-Boc-D-valine (VII) in the presence of EDC to furnish amide (VIII). Further N-Boc group cleavage in (VIII) employing trifluoroacetic acid yields amino amide (IX), which is then reduced to diamine (X) by means of borane in THF. Coupling of amine (X) with 3,4,5-trimethoxyphenyl isocyanate (XI) leads to urea (XII). Finally, quaternization of the piperidine N of (XII) with iodomethane provides the title piperidinium salt.

Drug Information Express,Drug R&D,Chemical Database,Patent Search.
Copyright © 2006-2026 Drug Future. All rights reserved.Contact Us