【药物名称】BN-82451
化学结构式(Chemical Structure):
参考文献No.55976
标题:5-Membered heterocycle derivs., production thereof and use thereof as medicaments
作者:Bigg, D.; Pommier, J.; Chabrier de Lassauniere, P.-E.; Thurieau, C.; Harnett, J.; Liberatore, A.-M.; Lannoy, J. (SCRAS (Societ?de Conseils de Recherches et d'Applications Scientifiques))
来源:EP 1223933; EP 1228760; JP 2003511416; WO 0126656
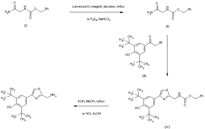
合成路线图解说明:

Treatment of N-(carbobenzoxy)glycinamide (I) with Lawesson's reagent in boiling dioxane gives rise to the corresponding thioamide (II). This is then condensed with the bromoacetophenone (III) to produce thiazole (IV). Finally, alkaline hydrolysis of the carbamate group of (IV) furnishes the target primary amine.

参考文献No.784060
标题:Phenolic thiazoles as novel orally-active neuroprotective agents
作者:Harnett, J.J.; Roubert, V.; Dolo, C.; Charnet, C.; Spinnewyn, B.; Cornet, S.; Rolland, A.; Marin, J.-G.; Bigg, D.; Chabrier, P.-E.
来源:Bioorg Med Chem Lett 2004,14(1),157
合成路线图解说明:

Treatment of N-(carbobenzoxy)glycinamide (I) with Lawesson's reagent in boiling dioxane gives rise to the corresponding thioamide (II). This is then condensed with the bromoacetophenone (III) to produce thiazole (IV). Finally, alkaline hydrolysis of the carbamate group of (IV) furnishes the target primary amine.

Drug Information Express,Drug R&D,Chemical Database,Patent Search.
Copyright © 2006-2026 Drug Future. All rights reserved.Contact Us