【药物名称】ME-1036, CP-5609
化学结构式(Chemical Structure):
参考文献No.693321
标题:CP5609, a novel parenteral carbapenem: Synthesis and structure-activity relationships
作者:Shitara, E.; Yamamoto, Y.; Kano, Y.; Maruyama, T.; Takahashi, M.; Atsumi, K.
来源:42nd Intersci Conf Antimicrob Agents Chemother (Sept 27 2002, San Diego) 2002,Abst F-319
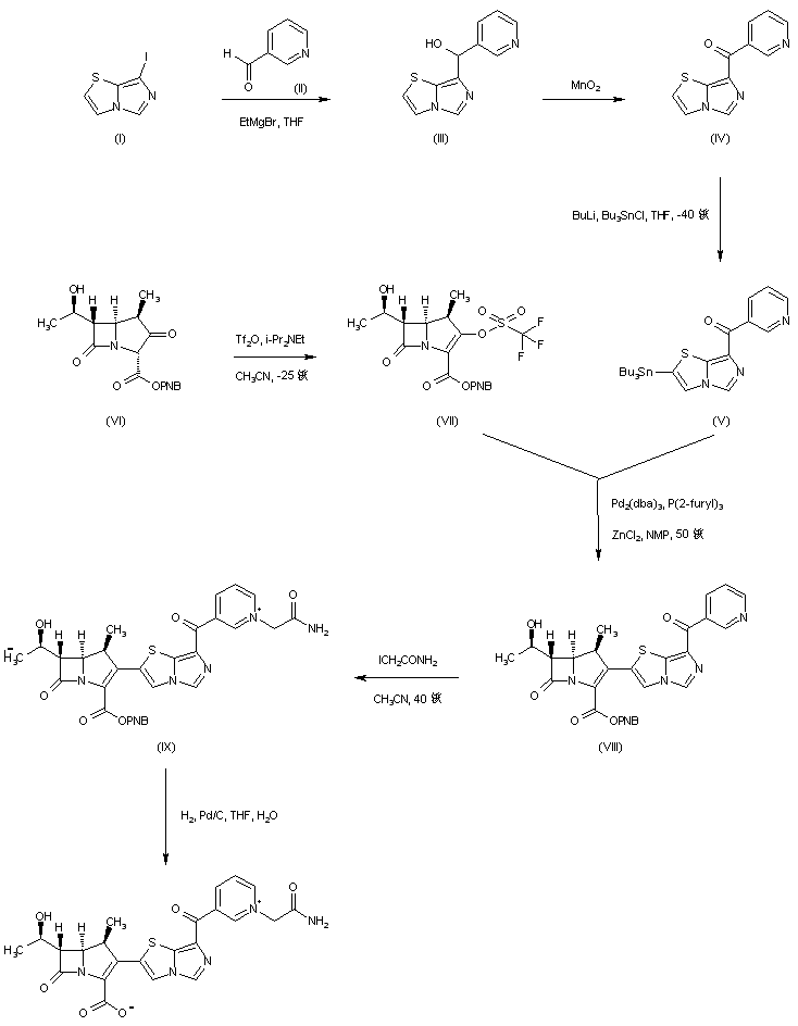
合成路线图解说明:

Metalation of 7-iodoimidazo[5,1-b]thiazole (I) with ethylmagnesium bromide, followed by addition to 3-pyridinecarboxaldehyde (II) provides carbinol (III), which is further oxidized to ketone (IV) by means of MnO2. Lithiation of (IV) and further treatment with chlorotributyltin affords the stannyl derivative (V). The carbapenem ketone (VI) is converted into the vinyl triflate (VII) upon treatment with trifluoromethanesulfonic anhydride and diisopropyl ethylamine. Then, Stille coupling between vinyl triflate (VII) and the stannyl derivative (V) gives rise to the imidazothiazolyl carbapenem (VIII). Quaternization of the pyridine ring of (VIII) with iodoacetamide furnishes the pyridinium salt (IX). Finally the p-nitrobenzyl ester group of (IX) is removed by hydrogenolysis over Pd/C to provide the title compound

Drug Information Express,Drug R&D,Chemical Database,Patent Search.
Copyright © 2006-2026 Drug Future. All rights reserved.Contact Us