【药物名称】111In-DTPA-Abeta(3-40)
化学结构式(Chemical Structure):
参考文献No.671250
标题:Noninvasive imaging of peripherally injected Alzheimer's disease type synthetic A beta amyloid in vivo
作者:Marshall, J.R.; et al.
来源:Bioconjugate Chem 2002,13(2),276
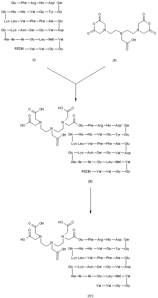
合成路线图解说明:

The resin-bound A-beta(3-40) amyloid peptide (I) is prepared by solid-phase synthesis, employing Fmoc chemistry. Acylation of the peptide-resin (I) with diethylenetriaminepentaacetic (DTPA) dianhydride (II) gives rise to the peptide DTPA-amide (III), which is further liberated from the resin to produce (IV)

Drug Information Express,Drug R&D,Chemical Database,Patent Search.
Copyright © 2006-2026 Drug Future. All rights reserved.Contact Us