【药物名称】
化学结构式(Chemical Structure):
参考文献No.55790
标题:Serotonergic agents
作者:Kelly, M.G.; Childers, W.E.; Rosenzweig-Lipson, S.J. (Wyeth)
来源:US 2002107254; US 6469007; WO 0244142
合成路线图解说明:

The reaction of 5(S)-methyl-3-phenyl-4,5-dihydro-3H-1,2,3-oxathiazol (VIII) with benzhydrylamine (IX) gives the sulfamic acid (X), which is deprotected by hydrogenation with H2 over Pd/C to yield N-(2(R)-aminopropyl-N-(2-pyridyl)sulfamic acid (XI). The hydrolysis of (XI) with 3N HCl affords N1-(2-pyridyl)propane-1,2(R)-diamine (XII). The cyclization of the intermediate dimesylate (VI) with sulfamic acid (XI) or diamine (XII) by means of K2CO3 and NaI in hot DMF or refluxing acetonitrile provides the disubstituted piperazine (XIII) (1), which is finally condensed with 4-cyanobenzoyl chloride (XIV) by means of K2CO3 in ethyl acetate to give the target benzamide (1,2).

参考文献No.64865
标题:Preparation of N1-(2'-pyridyl)-1,2-propanediamine sulfamic acid and its use in the synthesis of biologically active piperazines
作者:Jirkovsky, I.; Zeldis, J.; Chan, A.W.-Y.; Fiegelson, G.B. (Wyeth)
来源:WO 0378396
合成路线图解说明:

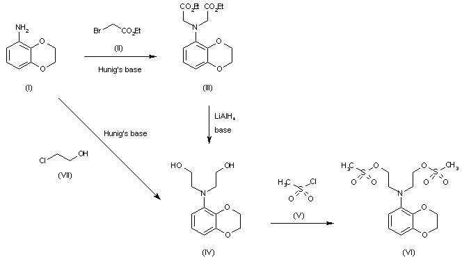
The intermediate dimesylate (VI) can be obtained as follows: The condensation of 2,3-dihydro-1,4-benzodioxin-5-amine (I) with ethyl bromoacetate (II) by means of Hunig's base and NaI in refluxing toluene gives the tertiary amine (III), which is reduced by means of LiAlH4 in THF to yield the diethanolamine (IV). Finally, this compound is esterified by means of mesyl chloride (V) to provide the desired dimesylate intermediate (VI). Alternatively, the diethanolamine (IV) can be obtained by direct condensation of 2,3-dihydro-1,4-benzodioxin-5-amine (I) with 2-chloroethanol (VII) by means of Hunig's base.

合成路线图解说明:

The reaction of 5(S)-methyl-3-phenyl-4,5-dihydro-3H-1,2,3-oxathiazol (VIII) with benzhydrylamine (IX) gives the sulfamic acid (X), which is deprotected by hydrogenation with H2 over Pd/C to yield N-(2(R)-aminopropyl-N-(2-pyridyl)sulfamic acid (XI). The hydrolysis of (XI) with 3N HCl affords N1-(2-pyridyl)propane-1,2(R)-diamine (XII). The cyclization of the intermediate dimesylate (VI) with sulfamic acid (XI) or diamine (XII) by means of K2CO3 and NaI in hot DMF or refluxing acetonitrile provides the disubstituted piperazine (XIII) (1), which is finally condensed with 4-cyanobenzoyl chloride (XIV) by means of K2CO3 in ethyl acetate to give the target benzamide (1,2).

Drug Information Express,Drug R&D,Chemical Database,Patent Search.
Copyright © 2006-2026 Drug Future. All rights reserved.Contact Us