【药物名称】
化学结构式(Chemical Structure):
参考文献No.41722
标题:21-(2-Oxo-tetrahydrofuran)-thio pregnane derivs., a process for their production and pharmaceutical compsns. containing them
作者:Farrell, R.M.; Biggadike, K. (Glaxo Wellcome Inc.)
来源:US 6013244; WO 9724367
合成路线图解说明:

Fluocinolone acetonide (I) was selectively mesylated at the primary alcohol group by means of methanesulfonyl chloride and pyridine. Treatment of the resulting mesylate (II) with alpha-mercapto-gamma-butyrolactone (IV) in the presence of NaH in THF produced the desired thioether derivative.

合成路线图解说明:

Ketal exchange of acetonide (I) with butyraldehyde (II) under acidic conditions provides the corresponding butylidene ketal (III). The primary alcohol group of (III) is then mesylated with methanesulfonyl chloride in pyridine to furnish (IV). Subsequent displacement of the mesylate group of (IV) by racemic alpha-mercapto-gamma-butyrolactone (V) gives rise to a mixture of the title compound along with its (R)-epimer (VI), which can be separated employing preparative HPLC. (1,2)

参考文献No.664895
标题:Novel glucocorticoid antedrugs possessing a 21-(gamma-lactone) ring
作者:Angell, R.M.; Biggadike, K.; Farrell, R.M.; Flack, S.S.; Hancock, A.P.; Irving, W.R.; Lynn, S.M.; Procopiou, P.A.
来源:J Chem Soc - Perkins Trans I 2002,(6),831
合成路线图解说明:

Ketal exchange of acetonide (I) with butyraldehyde (II) under acidic conditions provides the corresponding butylidene ketal (III). The primary alcohol group of (III) is then mesylated with methanesulfonyl chloride in pyridine to furnish (IV). Subsequent displacement of the mesylate group of (IV) by racemic alpha-mercapto-gamma-butyrolactone (V) gives rise to a mixture of the title compound along with its (R)-epimer (VI), which can be separated employing preparative HPLC. (1,2)

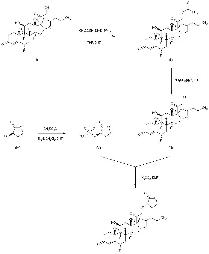
合成路线图解说明:

Mitsunobu coupling of alcohol (I) with thioacetic acid affords the thioacetate ester (II), which is further hydrolyzed to thiol (III) by means of hydrazine hydrate in cold THF. Treatment of (R)-alpha-hydroxy-gamma-butyrolactone (IV) with methanesulfonyl chloride and Et3N provides the chiral mesylate (V). This is then condensed with thiol (III) in the presence of K2CO3 in DMF to furnish the title compound. (2)

Drug Information Express,Drug R&D,Chemical Database,Patent Search.
Copyright © 2006-2026 Drug Future. All rights reserved.Contact Us