【药物名称】S-35836-1
化学结构式(Chemical Structure):
参考文献No.53223
标题:1,1- And 1,2-disubstd. cyclopropanes, process for their preparation and pharmaceutical compsns. thereof
作者:Guillonneau, C.; Lestage, P.; Charton, Y.; Lockhart, B.; Goldstein, S. (Servier Laboratoires)
来源:EP 1170281; FR 2810664; JP 2002069046; US 2002022643
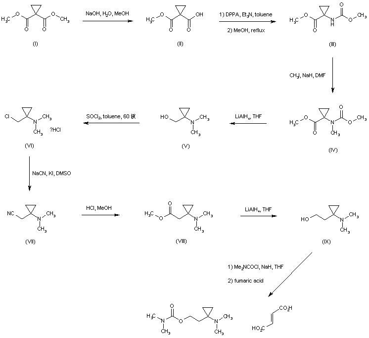
合成路线图解说明:

Partial hydrolysis of dimethyl 1,1-cyclopropanedicarboxylate (I) yields mono-acid (II). Curtius rearrangement of (II), followed by treatment with methanol provides the methyl carbamate (III), which is N-methylated to (IV) employing iodomethane and NaH in DMF. Reduction of the carboxylate and carbamate groups of (IV) by means of LiAlH4 furnishes amino alcohol (V). After chlorination of (V) with SOCl2, the resultant alkyl chloride (VI) is displaced by NaCN to afford nitrile (VII). Hydrolysis of (VII) with methanolic HCl leads to ester (VIII), which is further reduced to amino alcohol (IX) using LiAlH4. Acylation of alcohol (IX) with dimethylcarbamoyl chloride produces the target amino carbamate, which is finally isolated as the corresponding fumarate salt.

Drug Information Express,Drug R&D,Chemical Database,Patent Search.
Copyright © 2006-2026 Drug Future. All rights reserved.Contact Us